🔥ГДЗ под запретом?

Упр.1301 ГДЗ Атанасян 7-9 класс по геометрии (Геометрия)

Решение #1 (Учебник 2025)

Изображение Упр.1301 ГДЗ Атанасян 7-9 класс по геометрии

Решение #2 (Учебник 2023)

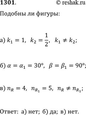
Изображение Упр.1301 ГДЗ Атанасян 7-9 класс по геометрии

Рассмотрим вариант решения задания из учебника Атанасян, Бутузов 9 класс, Просвещение:
1301. По данным рисунка 389, а—в выясните, подобны ли многоугольники F и F_1, P и P_1, R и R_1.

Постройте трапецию, стороны которой соответственно равны данным отрезкам.

*Цитирирование задания со ссылкой на учебник производится исключительно в учебных целях для лучшего понимания разбора решения задания.
*К сожалению, временные проблемы с публикацией комментариев с мобильных устройств.