🔥ГДЗ под запретом?

Упр.1300 ГДЗ Атанасян 7-9 класс по геометрии (Геометрия)

Решение #1 (Учебник 2025)

Изображение Упр.1300 ГДЗ Атанасян 7-9 класс по геометрии

Решение #2 (Учебник 2023)

Изображение Упр.1300 ГДЗ Атанасян 7-9 класс по геометрии

Рассмотрим вариант решения задания из учебника Атанасян, Бутузов 9 класс, Просвещение:
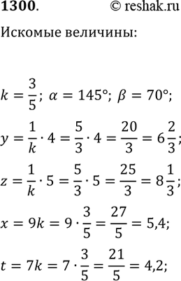
1300. Пятиугольники, изображённые на рисунке 388, подобны. По данным этого рисунка найдите x, y, z, t, альфа, бета.

Постройте треугольник по трём медианам.

*Цитирирование задания со ссылкой на учебник производится исключительно в учебных целях для лучшего понимания разбора решения задания.
*К сожалению, временные проблемы с публикацией комментариев с мобильных устройств.