Упр.28.8 ГДЗ Мордкович Семенов 11 класс (Алгебра)
Решение #1 (Учебник 2025)
Решение #2 (Учебник 2022)

Рассмотрим вариант решения задания из учебника Мордкович, Семенов, Александрова 11 класс, Просвещение:
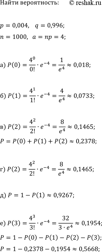
Вероятность пропажи одной коробки при транспортировке в общей партии из большого числа коробок оценивается в 0,4 %. Оцените вероятность того, что при транспортировке 1000 партий товара пропадёт:
а) ноль коробок;
б) одна коробка;
в) не более двух коробок;
г) две коробки;
д) не одна коробки;
е) более трёх коробок.
Решите уравнение:
а) log_(x-5)(x-2)=log_(x-5)(3x-10);
б) log_(3x-1)((x-2)/(x-1))=log_(3x-1)((2x+1)/(5x-1));
в) log_(2x-3)(4x-1)=log_(2x-3)(2x+3);
г) log_(x-3)((3x-2)/(x+2))=log_(x-3)((5x+1)/(x+9)).
Похожие решебники
Популярные решебники 11 класс Все решебники
*К сожалению, временные проблемы с публикацией комментариев с мобильных устройств.