Упр.28.10 ГДЗ Мордкович Семенов 11 класс (Алгебра)
Решение #1 (Учебник 2025)
Решение #2 (Учебник 2022)

Рассмотрим вариант решения задания из учебника Мордкович, Семенов, Александрова 11 класс, Просвещение:
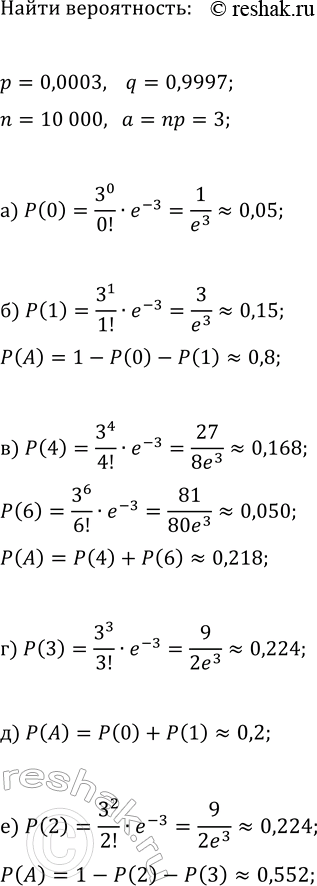
Тираж учебника по теории вероятностей составляет 10 000 экземпляров. Вероятность полиграфического брака на обложке равна 0,03 %. Найдите вероятность того, что в тираже с браком на обложке окажется:
а) ноль учебников; г) 3 учебника;
б) более одного учебника; д) менее двух учебников;
в) 4 или 6 учебников; е) не 2 и не 3 учебника.
Решите уравнение:
а) 5^(7x-3)(sin(2x)-v2/2)log_0,5(x+1)=0;
б) (sin(x)+cos(x))(x-8v(2x-15))=0.
Похожие решебники
Популярные решебники 11 класс Все решебники
*К сожалению, временные проблемы с публикацией комментариев с мобильных устройств.