Упр.28.11 ГДЗ Мордкович Семенов 11 класс (Алгебра)
Решение #1 (Учебник 2025)
Решение #2 (Учебник 2022)

Рассмотрим вариант решения задания из учебника Мордкович, Семенов, Александрова 11 класс, Просвещение:
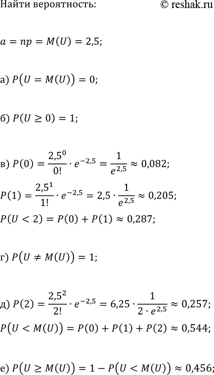
Случайная величина U распределена по Пуассону, а её математическое ожидание равно 2,5. Найдите вероятность:
а) P(U = M(U)); г) P(U ? M(U));
б) P(U ? 0); д) P(U < M(U));
в) P(U < 2); е) P(U ? M(U)).
Решите уравнение, используя функционально-графические методы:
а) (x-2)^(5/6)=log_3(x); в) log_4(x)=(x-3)^(7/3);
б) 3^x=11-x; г) (1/4)^x=x+5.
Похожие решебники
Популярные решебники 11 класс Все решебники
*К сожалению, временные проблемы с публикацией комментариев с мобильных устройств.