Упр.28.13 ГДЗ Мордкович Семенов 11 класс (Алгебра)
Решение #1 (Учебник 2025)
Решение #2 (Учебник 2022)

Рассмотрим вариант решения задания из учебника Мордкович, Семенов, Александрова 11 класс, Просвещение:
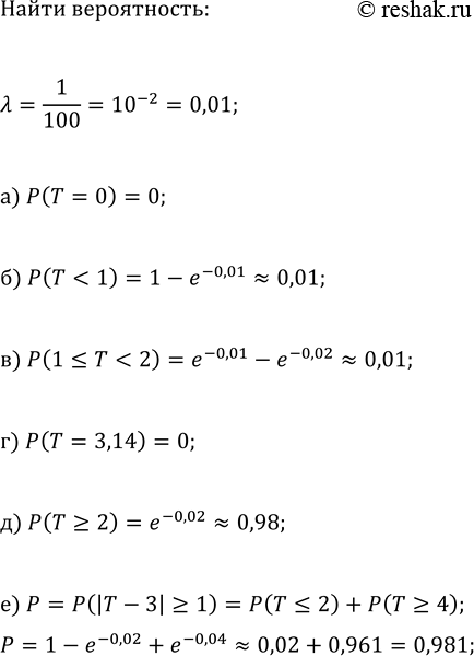
Время T безотказной работы двигателя имеет показательное распределение с математическим ожиданием 100. Найдите вероятность:
а) P(T = 0); г) P(T = 3,14);
б) P(T < 1); д) P(T ? 2);
в) P(1 ? T < 2); е) P(|T - 3| ? 1).
Решите уравнение, используя функционально-графические методы:
а) v(20-4x)=4(2x-7)^3-2;
б) (81^x)^(1/7)=v(1-4x);
в) v(17-2x)=3,5+4(3x-1)^3;
г) (16^(x-3))^(1/9)=v(13-4x).
Похожие решебники
Популярные решебники 11 класс Все решебники
*К сожалению, временные проблемы с публикацией комментариев с мобильных устройств.