Упр.28.14 ГДЗ Мордкович Семенов 11 класс (Алгебра)
Решение #1 (Учебник 2025)
Решение #2 (Учебник 2022)

Рассмотрим вариант решения задания из учебника Мордкович, Семенов, Александрова 11 класс, Просвещение:
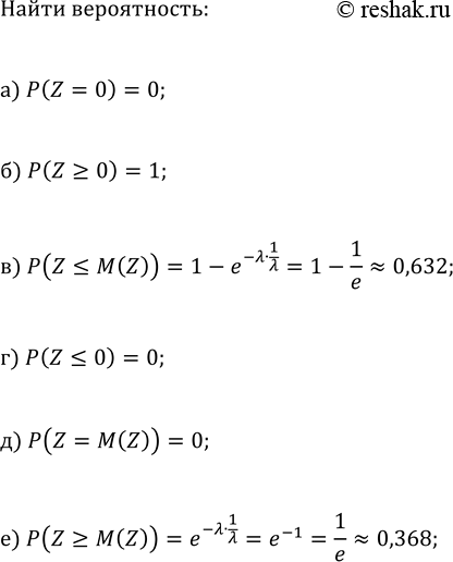
Для случайной величины Z с показательным распределением найдите вероятность:
а) P(Z = 0); г) P(Z ? 0);
б) P(Z ? 0); д) P(Z = M(Z));
в) P(Z ? M(Z)); е) P(Z ? M(Z)).
Решите уравнение, используя функционально-графические методы:
а) 5^v(1-tg(2,5?x))=20x-100x^2;
б) log_2(12x-4x^2-5)=3+cos(2?x);
в) 0,5x^2+16=2^(3+cos(?x));
г) 5-|2x^2-15x+7|=5/cos^2(?x)).
Похожие решебники
Популярные решебники 11 класс Все решебники
*К сожалению, временные проблемы с публикацией комментариев с мобильных устройств.