Упр.28.2 ГДЗ Мордкович Семенов 11 класс (Алгебра)
Решение #1 (Учебник 2025)
Решение #2 (Учебник 2022)

Рассмотрим вариант решения задания из учебника Мордкович, Семенов, Александрова 11 класс, Просвещение:
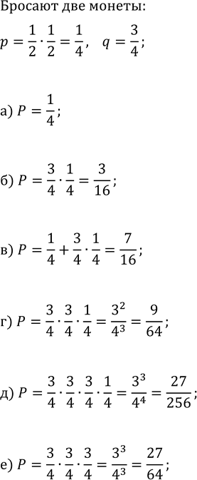
Пару монет разного достоинства подбрасывают до первого выпадения двух «решек». Какова вероятность того, что потребуется:
а) одно бросание;
б) два бросания;
в) не более двух бросаний;
г) три бросания;
д) четыре бросания;
е) более трёх бросаний?
Решите уравнение:
а) v(6x^2-8x)=v(x^2+5x+6);
б) v(5x^2-12x)=v(5x-2x^2+12);
в) v(8x^2+4x)=v(3x^2+11x+6);
г) v(4x^2-9x-9)=v(11x-2x^2-15).
Похожие решебники
Популярные решебники 11 класс Все решебники
*К сожалению, временные проблемы с публикацией комментариев с мобильных устройств.