Упр.28.6 ГДЗ Мордкович Семенов 11 класс (Алгебра)
Решение #1 (Учебник 2025)
Решение #2 (Учебник 2022)

Рассмотрим вариант решения задания из учебника Мордкович, Семенов, Александрова 11 класс, Просвещение:
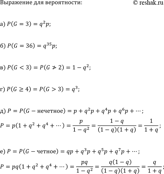
По таблице геометрического распределения найдите выражение для вероятности:
а) P(G = 3); г) P(G ? 4);
б) P(G = 36); д) P(G — нечётно);
в) P(G < 3); е) P(G — чётно).
Решите уравнение:
а) log_v7(x-3)=log_v7(2x-5);
б) lg((x+5)/(2x+10))=lg((x-3)/(x-1));
в) log_v11(3x-8)=log_v11(2x-1);
г) ln((x-2)/(2x-4))=ln((x+2)/(x+3)).
Похожие решебники
Популярные решебники 11 класс Все решебники
*К сожалению, временные проблемы с публикацией комментариев с мобильных устройств.