Упр.28.9 ГДЗ Мордкович Семенов 11 класс (Алгебра)
Решение #1 (Учебник 2025)
Решение #2 (Учебник 2022)

Рассмотрим вариант решения задания из учебника Мордкович, Семенов, Александрова 11 класс, Просвещение:
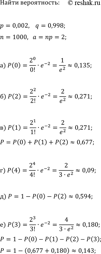
Телефонная компания оценивает вероятность нарушения сигнала при исходящем звонке абонента в 0,2 %. Вычислите вероятность того, что на 1000 исходящих звонков абонентов компании пришлось:
а) ноль сбоев сигнала; г) 4 сбоя;
б) два сбоя; д) не ноль и не два сбоя;
в) не более двух сбоев; е) более трёх сбоев.
Решите уравнение:
а) log_3(4x-1)+log_3(4x+1)=1;
б) log_12(x)+log_12(x+1)=1;
в) log_5(5x-2)+log_5(5x+2)=1;
г) lg(x)+lg(x+3)=1.
Похожие решебники
Популярные решебники 11 класс Все решебники
*К сожалению, временные проблемы с публикацией комментариев с мобильных устройств.