Упр.28.3 ГДЗ Мордкович Семенов 11 класс (Алгебра)
Решение #1 (Учебник 2025)
Решение #2 (Учебник 2022)

Рассмотрим вариант решения задания из учебника Мордкович, Семенов, Александрова 11 класс, Просвещение:
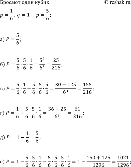
Игральный кубик подбрасывают до первого выпадения шести очков. Какова вероятность того, что потребуется:
а) одно бросание;
б) три бросания;
в) не одно и не три бросания;
г) одно или три бросания;
д) не менее двух бросаний;
е) не три и не четыре бросания?
Решите уравнение:
а) v(x+2)+v(x-2)=v2;
б) v(7x+5)+v(2x-13)=v(9x-8);
в) v(x+3)-v(x-3)=v6;
г) v(8x-11)+v(2-x)=v(7x-9).
Похожие решебники
Популярные решебники 11 класс Все решебники
*К сожалению, временные проблемы с публикацией комментариев с мобильных устройств.