🔥ГДЗ под запретом?

Упр.2.317 ГДЗ Виленкин Жохов 6 класс Часть 1, Просвещение (Математика)

Решение #1 (Учебник 2023)

Изображение Масса 1 м^3 древесины 14/25 т. Найдите массу 3/4 м^3, 5/7 м^3 и 1 1/4 м^3 древесины.При выполнении вычислений опираемся на следующие правила:- для того, чтобы...

Решение #2 (Учебник 2023)

Изображение Масса 1 м^3 древесины 14/25 т. Найдите массу 3/4 м^3, 5/7 м^3 и 1 1/4 м^3 древесины.При выполнении вычислений опираемся на следующие правила:- для того, чтобы...

Решение #3 (Учебник 2023)

Изображение Масса 1 м^3 древесины 14/25 т. Найдите массу 3/4 м^3, 5/7 м^3 и 1 1/4 м^3 древесины.При выполнении вычислений опираемся на следующие правила:- для того, чтобы...

Решение #4 (Учебник 2021)

Изображение Масса 1 м^3 древесины 14/25 т. Найдите массу 3/4 м^3, 5/7 м^3 и 1 1/4 м^3 древесины.При выполнении вычислений опираемся на следующие правила:- для того, чтобы...

Решение #5 (Учебник 2021)

Изображение Масса 1 м^3 древесины 14/25 т. Найдите массу 3/4 м^3, 5/7 м^3 и 1 1/4 м^3 древесины.При выполнении вычислений опираемся на следующие правила:- для того, чтобы...

Решение #6 (Учебник 2021)

Изображение Масса 1 м^3 древесины 14/25 т. Найдите массу 3/4 м^3, 5/7 м^3 и 1 1/4 м^3 древесины.При выполнении вычислений опираемся на следующие правила:- для того, чтобы...

Рассмотрим вариант решения задания из учебника Виленкин, Жохов, Чесноков 6 класс, Просвещение:
Вычислите:
а) 0,7 от 40; в) 0,3 от 0,9;
б) 0,35 от 60; г) 0,6 от 5,7.
Для того, чтобы найти часть от числа, выраженную десятичной дробью, необходимо умножить число на эту дробь.
Для того, чтобы умножить десятичную дробь на натуральное число, необходимо умножить их как натуральные числа, не обращая внимание на запятую; в полученном произведении отделить запятой справа столько цифр, сколько их стоит после запятой у умножаемой дроби.
Для того, чтобы перемножить две десятичные дроби, необходимо умножить их как натуральные числа, не обращая внимание на запятые; в полученном произведении отделить запятой справа столько цифр, сколько их стоит после запятых в обоих множителях вместе.
а) 0,7 от 40
40•0,7=28
б) 0,35 от 60
60•0,35=21
в) 0,3 от 0,9
0,9•0,3=0,27
г) 0,6 от 5,7
5,7•0,6=3,42

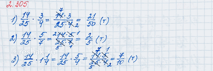
Масса 1 м^3 древесины 14/25 т. Найдите массу 3/4 м^3, 5/7 м^3 и 1 1/4 м^3 древесины.

При выполнении вычислений опираемся на следующие правила:
- для того, чтобы умножить дробь на дробь, необходимо найти произведение числителей и знаменателей этих дробей. Первое произведение записать числителем, второе – знаменателем.
- при умножении необходимо выполнять сокращение, если это возможно, для удобства расчётов. Для этого необходимо одно из чисел числителя и знаменателя разделить на одно и то же число и далее выполнять умножение.
Для того, чтобы найти массу (т) древесины определённого объёма (м^3), необходимо массу 1 м^3 древесины умножить на этот объём.
Известно, что 1 м^3 древесины весит 14/25 т.
Тогда, масса 3/4 м^3 древесины равна, 3/4•14/25=(3•14)/(4•25)=42/100=0,42 (т).
Масса 5/7 м^3 древесины равна, 5/7•14/25=(5•14)/(7•25)=(5•7•2)/(7•5•5)=2/5=(2•2)/(5•2)=4/10=0,4 (т).
Масса 1 1/4 м^3 древесины равна, 1 1/4•14/25=5/4•14/25=(5•14)/(4•25)=70/100=0,70=0,7 (т).
Ответ: 0,42 т; 0,4 т; 0,7 т.

*Цитирирование задания со ссылкой на учебник производится исключительно в учебных целях для лучшего понимания разбора решения задания.
*К сожалению, временные проблемы с публикацией комментариев с мобильных устройств.