🔥ГДЗ под запретом?

Упр.2.320 ГДЗ Виленкин Жохов 6 класс Часть 1, Просвещение (Математика)

Решение #1 (Учебник 2023)

Изображение Деревянный брус имеет форму прямоугольного параллелепипеда, измерения которого равны 6 м, 3/20 м и 1/10 м. Для выполнения строительных работ было куплено 40 штук такого...

Решение #2 (Учебник 2023)

Изображение Деревянный брус имеет форму прямоугольного параллелепипеда, измерения которого равны 6 м, 3/20 м и 1/10 м. Для выполнения строительных работ было куплено 40 штук такого...
Дополнительное изображение

Решение #3 (Учебник 2023)

Изображение Деревянный брус имеет форму прямоугольного параллелепипеда, измерения которого равны 6 м, 3/20 м и 1/10 м. Для выполнения строительных работ было куплено 40 штук такого...

Решение #4 (Учебник 2021)

Изображение Деревянный брус имеет форму прямоугольного параллелепипеда, измерения которого равны 6 м, 3/20 м и 1/10 м. Для выполнения строительных работ было куплено 40 штук такого...

Решение #5 (Учебник 2021)

Изображение Деревянный брус имеет форму прямоугольного параллелепипеда, измерения которого равны 6 м, 3/20 м и 1/10 м. Для выполнения строительных работ было куплено 40 штук такого...

Решение #6 (Учебник 2021)

Изображение Деревянный брус имеет форму прямоугольного параллелепипеда, измерения которого равны 6 м, 3/20 м и 1/10 м. Для выполнения строительных работ было куплено 40 штук такого...

Рассмотрим вариант решения задания из учебника Виленкин, Жохов, Чесноков 6 класс, Просвещение:
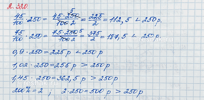
Найдите 45 %, 75 %, 90 %, 102 %, 145 %, 200 % от 250 р. Сравните полученные результаты с 250 р.

Для того, чтобы найти часть от числа, выраженную в процентах, сначала необходимо перевести проценты в десятичную дробь, затем число умножить на полученную десятичную дробь.
Для того, чтобы проценты перевести в десятичную дробь, необходимо число, стоящее перед знаком %, разделить на 100.
Для того, чтобы разделить десятичную дробь на 100, необходимо в этой дроби перенести запятую влево на две цифры.
Для того, чтобы умножить десятичную дробь на натуральное число, необходимо умножить их как натуральные числа, не обращая внимание на запятую; в полученном произведении отделить запятой справа столько цифр, сколько их стоит после запятой у умножаемой дроби.
45% от 250 р
45%=45:100=0,45
250•0,45=112,5 р.
112,5 р<250 р.

75% от 250 р
75%=75:100=0,75
250•0,75=187,5 р.
187,5 р<250 р.

90% от 250 р
90%=90:100=0,9
250•0,9=225 р.
225 р<250 р.

102% от 250 р
102%=102:100=1,02
250•1,02=255 р.
255 р>250 р.

145% от 250 р
145%=145:100=1,45
250•1,45=362,5 р.
362,5 р>250 р.

200% от 250 р
200%=200:100=2
250•2=500 р.
500 р>250 р.

Деревянный брус имеет форму прямоугольного параллелепипеда, измерения которого равны 6 м, 3/20 м и 1/10 м. Для выполнения строительных работ было куплено 40 штук такого бруса по цене 6400 р. за 1 м^3. На какую сумму был закуплен брус?
При выполнении вычислений опираемся на следующие правила:
- для того, чтобы найти произведение дроби и натурального числа, необходимо её числитель умножить на это число, а знаменатель оставить без изменения.
- для того, чтобы умножить дробь на дробь, необходимо найти произведение числителей и знаменателей этих дробей. Первое произведение записать числителем, второе – знаменателем.
- при умножении необходимо выполнять сокращение, если это возможно, для удобства расчётов. Для этого необходимо одно из чисел числителя и знаменателя разделить на одно и то же число и далее выполнять умножение.
Найдём объём деревянного бруса, который имеет форму прямоугольного параллелепипеда.
Объём прямоугольного параллелепипеда равен произведению трёх его измерений - длины, ширины и высоты.
Значит, объём бруса равен
6•3/20•1/10=(6•3•1)/(20•10)=(2•3•3)/(2•10•10)=9/100=0,09 (м^3) – объём деревянного бруса.
Было куплено 40 таких брусьев, значит, их объём составил
40•0,09=3,6 (м^3) – общий объём брусьев.
Для того, чтобы найти сумму закупа всего бруса, необходимо стоимость 1 м^3 бруса умножить на общий объём брусьев.
Известно, что цена 1 м^3 бруса 6400 р.
6400•3,6=23040 (р) – сумма закупа бруса.
Ответ: 23 040 рублей.

*Цитирирование задания со ссылкой на учебник производится исключительно в учебных целях для лучшего понимания разбора решения задания.
*К сожалению, временные проблемы с публикацией комментариев с мобильных устройств.