🔥ГДЗ под запретом?

Упр.2.321 ГДЗ Виленкин Жохов 6 класс Часть 1, Просвещение (Математика)

Решение #1 (Учебник 2023)

Изображение Найдите значение выражения:а) 61/64 - (7/12 - 5/14) · (13/16 + 1/2);   в) (3,5 - 2,9) · (4 1/22 - 3 7/33);б) (1 - 11/17) · (3/4 - 5/12 + 11/18);      г) (5 3/14 - 4...

Решение #2 (Учебник 2023)

Изображение Найдите значение выражения:а) 61/64 - (7/12 - 5/14) · (13/16 + 1/2);   в) (3,5 - 2,9) · (4 1/22 - 3 7/33);б) (1 - 11/17) · (3/4 - 5/12 + 11/18);      г) (5 3/14 - 4...

Решение #3 (Учебник 2021)

Изображение Найдите значение выражения:а) 61/64 - (7/12 - 5/14) · (13/16 + 1/2);   в) (3,5 - 2,9) · (4 1/22 - 3 7/33);б) (1 - 11/17) · (3/4 - 5/12 + 11/18);      г) (5 3/14 - 4...

Решение #4 (Учебник 2021)

Изображение Найдите значение выражения:а) 61/64 - (7/12 - 5/14) · (13/16 + 1/2);   в) (3,5 - 2,9) · (4 1/22 - 3 7/33);б) (1 - 11/17) · (3/4 - 5/12 + 11/18);      г) (5 3/14 - 4...
Дополнительное изображение
Дополнительное изображение

Рассмотрим вариант решения задания из учебника Виленкин, Жохов, Чесноков 6 класс, Просвещение:
Что больше и на сколько:
а) 24 % от 46 или 42 % от 25; в) 65 % от 52 или 52 % от 65;
б) 76 % от 120 или 112 % от 84; г) 0,2 % от 50 или 0,5 % от 20?

Найдите значение выражения:
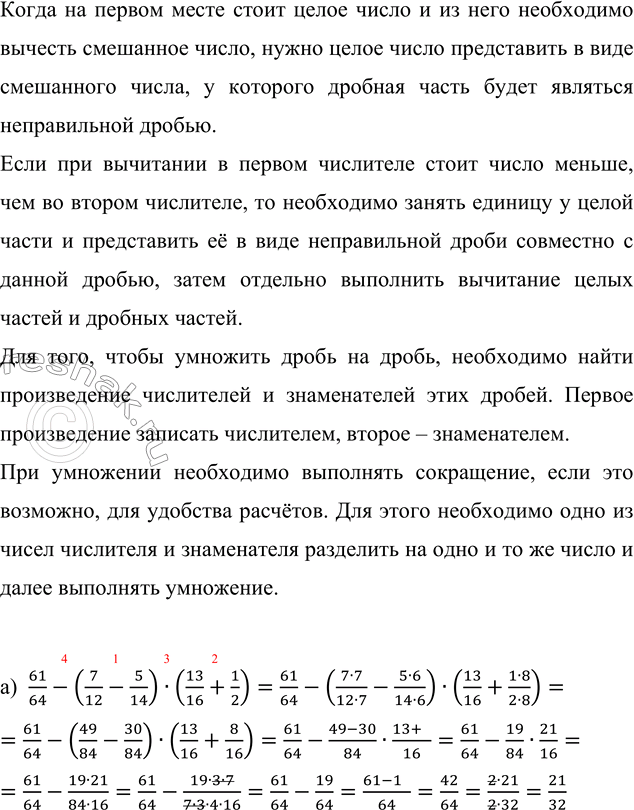
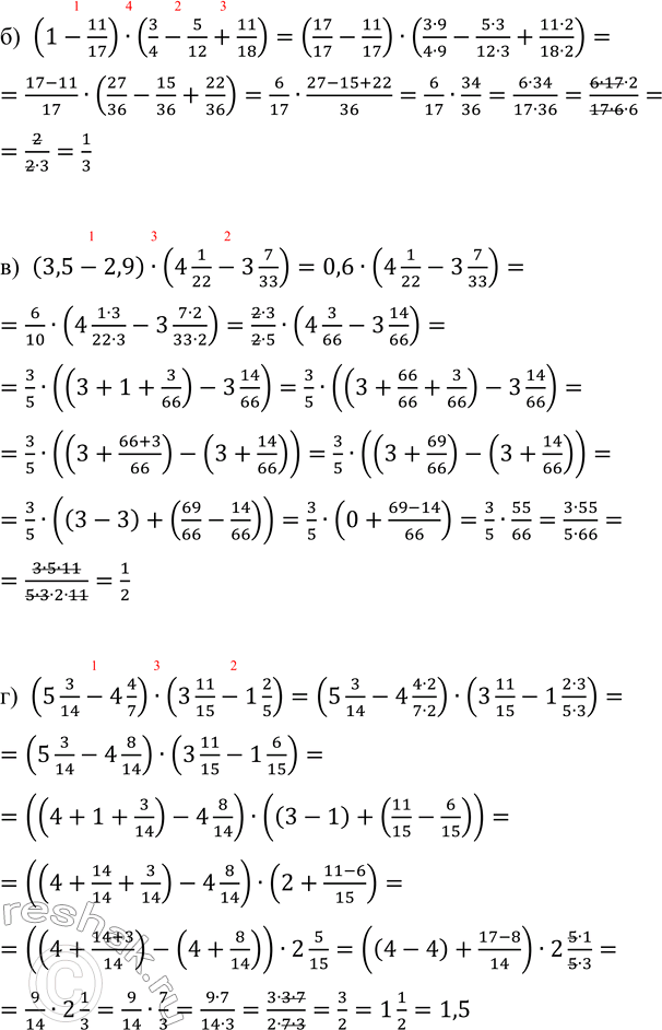
а) 61/64 - (7/12 - 5/14) · (13/16 + 1/2); в) (3,5 - 2,9) · (4 1/22 - 3 7/33);
б) (1 - 11/17) · (3/4 - 5/12 + 11/18); г) (5 3/14 - 4 4/7) · (3 11/15 - 1 2/5).

Если в выражении есть скобки, то сначала выполняют действия в скобках.
Если выражение содержит действия первой и второй ступени, то сначала выполняют действия второй ступени по порядку слева направо, а потом действия первой ступени, также по порядку слева направо.
При этом сложение и вычитание чисел называют действиями первой ступени, а умножение и деление чисел – действиями второй ступени.
Над примерами расставим цифрами порядок действий.
Для того, чтобы выполнить сложение (вычитание) смешанных чисел, необходимо дробные части привести к общему знаменателю, затем отдельно выполнить сложение (вычитание) целых частей и дробных частей.
При умножении числителя и знаменателя дроби на одно и то же число, получается дробь равная данной.
При сложении (вычитании) дробей с одинаковыми знаменателями, их числители складывают (вычитают), а знаменатель оставляют тот же.
Когда на первом месте стоит целое число и из него необходимо вычесть смешанное число, нужно целое число представить в виде смешанного числа, у которого дробная часть будет являться неправильной дробью.
Если при вычитании в первом числителе стоит число меньше, чем во втором числителе, то необходимо занять единицу у целой части и представить её в виде неправильной дроби совместно с данной дробью, затем отдельно выполнить вычитание целых частей и дробных частей.
Для того, чтобы умножить дробь на дробь, необходимо найти произведение числителей и знаменателей этих дробей. Первое произведение записать числителем, второе – знаменателем.
При умножении необходимо выполнять сокращение, если это возможно, для удобства расчётов. Для этого необходимо одно из чисел числителя и знаменателя разделить на одно и то же число и далее выполнять умножение.
а) 61/64-(7/12-5/14)•(13/16+1/2)=61/64-((7•7)/(12•7)-(5•6)/(14•6))•(13/16+(1•8)/(2•8))=61/64-(49/84-30/84)•(13/16+8/16)=61/64-(49-30)/84•(13+8)/16=61/64-19/84•21/16=61/64-(19•21)/(84•16)=61/64-(19•3•7)/(7•3•4•16)=61/64-19/64=(61-19)/64=42/64=(2•21)/(2•32)=21/32
б) (1-11/17)•(3/4-5/12+11/18)=(17/17-11/17)•((3•9)/(4•9)-(5•3)/(12•3)+(11•2)/(18•2))=(17-11)/17•(27/36-15/36+22/36)=6/17•(27-15+22)/36=6/17•34/36=(6•34)/(17•36)=(6•17•2)/(17•6•6)=2/(2•3)=1/3
в) (3,5-2,9)•(4 1/22-3 7/33)=0,6•(4 1/22-3 7/33)=6/10•(4 (1•3)/(22•3)-3 (7•2)/(33•2))=(2•3)/(2•5)•(4 3/66-3 14/66)=3/5•((3+1+3/66)-3 14/66)=3/5•((3+66/66+3/66)-3 14/66)=3/5•((3+(66+3)/66)-(3+14/66))=3/5•((3+69/66)-(3+14/66))=3/5•((3-3)+(69/66-14/66))=3/5•(0+(69-14)/66)=3/5•55/66=(3•55)/(5•66)=(3•5•11)/(5•3•2•11)=1/2
г) (5 3/14-4 4/7)•(3 11/15-1 2/5)=(5 3/14-4 (4•2)/(7•2))•(3 11/15-1 (2•3)/(5•3))=(5 3/14-4 8/14)•(3 11/15-1 6/15)=((4+1+3/14)-4 8/14)•((3-1)+(11/15-6/15))=((4+14/14+3/14)-4 8/14)•(2+(11-6)/15)=((4+(14+3)/14)-(4+8/14))•2 5/15=((4-4)+(17-8)/14)•2 (5•1)/(5•3)=9/14•2 1/3=9/14•7/3=(9•7)/(14•3)=(3•3•7)/(2•7•3)=3/2=1 1/2=1,5

*Цитирирование задания со ссылкой на учебник производится исключительно в учебных целях для лучшего понимания разбора решения задания.
*К сожалению, временные проблемы с публикацией комментариев с мобильных устройств.