Упр.1041 ГДЗ Мерзляк Полонский 5 класс (Математика)
Решение #1 (Учебник 2024)
Решение #2 (Учебник 2019)
Решение #3 (Учебник 2019)

Рассмотрим вариант решения задания из учебника Мерзляк, Полонский, Якир 5 класс, Просвещение:
Найдите значение выражения, выбирая удобный порядок вычислений:
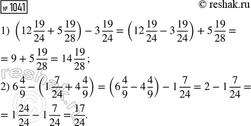
1) (12 19/24 + 5 19/28) - 3 19/24; 2) 6 4/9 - (1 7/24 + 4 4/9).
Среднее арифметическое двух чисел, одно из которых в 4 раза меньше второго, равно 10. Найдите эти числа.
Похожие решебники
Популярные решебники 5 класс Все решебники
*размещая тексты в комментариях ниже, вы автоматически соглашаетесь с пользовательским соглашением