Упр.1044 ГДЗ Мерзляк Полонский 5 класс (Математика)
Решение #1 (Учебник 2024)
Решение #2 (Учебник 2019)
Решение #3 (Учебник 2019)

Рассмотрим вариант решения задания из учебника Мерзляк, Полонский, Якир 5 класс, Просвещение:
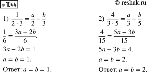
При каких наименьших натуральных значениях а и b верно равенство:
1) 1/(2 · 3) = a/2 - b/3; 2) 4/(3 · 5) = a/3 - b/5?
Принимая участие в математической олимпиаде, Дима решил 10 задач. За каждую задачу он мог получить не более 12 баллов. За первые восемь задач мальчик получил среднюю оценку 7 баллов. Сколько баллов получил Дима за каждую из оставшихся двух задач, если среднее количество баллов за одну задачу составляло 8 баллов?
Похожие решебники
Популярные решебники 5 класс Все решебники
*размещая тексты в комментариях ниже, вы автоматически соглашаетесь с пользовательским соглашением