Упр.1040 ГДЗ Мерзляк Полонский 5 класс (Математика)
Решение #1 (Учебник 2024)
Решение #2 (Учебник 2019)
Решение #3 (Учебник 2019)

Рассмотрим вариант решения задания из учебника Мерзляк, Полонский, Якир 5 класс, Просвещение:
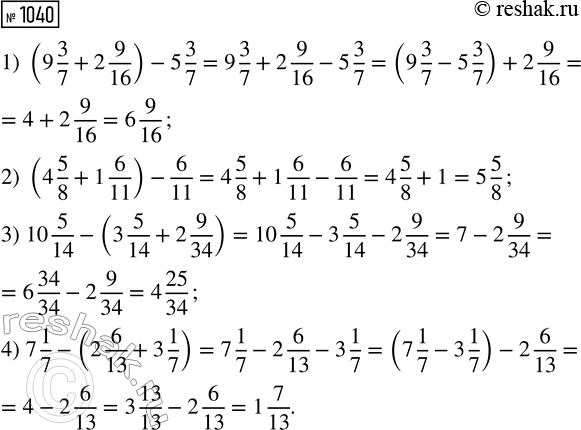
Найдите значение выражения, выбирая удобный порядок вычислений:
1) (9 3/7 + 2 9/16) - 5 3/7; 3) 10 5/14 - (3 5/14 + 2 9/34);
2) (4 5/8 + 1 6/11) - 6/11; 4) 7 1/7 - (2 6/13 + 3 1/7).
Среднее арифметическое чисел 6,4 и у равно 8,5. Найдите y.
Похожие решебники
Популярные решебники 5 класс Все решебники
*К сожалению, временные проблемы с публикацией комментариев с мобильных устройств.