Упр.1046 ГДЗ Мерзляк Полонский 5 класс (Математика)
Решение #1 (Учебник 2024)
Решение #2 (Учебник 2019)
Решение #3 (Учебник 2019)

Рассмотрим вариант решения задания из учебника Мерзляк, Полонский, Якир 5 класс, Просвещение:
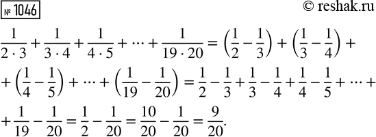
Вычислите значение выражения 1/(2 · 3) + 1/(3 · 4) + 1/(4 · 5) + ... + 1/(19 · 20).
Купили 2 кг конфет одного вида по 255 р. за килограмм, 4 кг конфет второго вида по 285 р. за килограмм и ещё 3 кг конфет третьего вида. Средняя цена купленных конфет составляла 260 р. за килограмм. Сколько стоил килограмм конфет третьего вида?
Похожие решебники
Популярные решебники 5 класс Все решебники
*размещая тексты в комментариях ниже, вы автоматически соглашаетесь с пользовательским соглашением