Упр.1047 ГДЗ Мерзляк Полонский 5 класс (Математика)
Решение #1 (Учебник 2024)
Решение #2 (Учебник 2019)
Решение #3 (Учебник 2019)

Рассмотрим вариант решения задания из учебника Мерзляк, Полонский, Якир 5 класс, Просвещение:
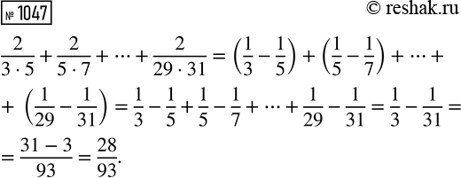
Вычислите значение выражения 2/(3 · 5) + 2/(5 · 7) + ... + 2/(29 · 31).
Среднее арифметическое четырёх чисел равно 2,1, а среднее арифметическое трёх других чисел — 2,8. Найдите среднее арифметическое этих семи чисел.
Похожие решебники
Популярные решебники 5 класс Все решебники
*размещая тексты в комментариях ниже, вы автоматически соглашаетесь с пользовательским соглашением