Упр.647 ГДЗ Макарычев Миндюк 9 класс (Алгебра)
Решение #1
Решение #2

Рассмотрим вариант решения задания из учебника Макарычев, Миндюк, Нешков 9 класс, Просвещение:
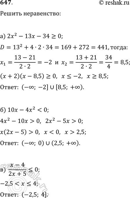
647. Решите неравенство:
а) 2х2 - 13x - 34 > = 0;
б) 10x-4x2 < 0;
в) (x-4)/(2x+5) < =0.
Похожие решебники
Популярные решебники 9 класс Все решебники
*размещая тексты в комментариях ниже, вы автоматически соглашаетесь с пользовательским соглашением