Упр.652 ГДЗ Макарычев Миндюк 9 класс (Алгебра)
Решение #1
Решение #2
Решение #3

Рассмотрим вариант решения задания из учебника Макарычев, Миндюк, Нешков 9 класс, Просвещение:
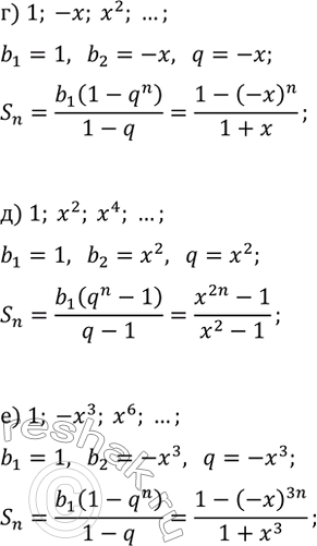
652. Найдите сумму первых n членов геометрической прогрессии:
а) 1; 3; 3^2; ... ;
б) 2; 2^2; 2^3; ... ;
в) 1/2;-1/4;1/8; ... ;
г) 1; -х; х2; ... , где х =/ —1;
д) 1; х2; х4; ... , где х =/ +- 1;
е) 1; -x3; x6; ... , где х=/ -1.
Похожие решебники
Популярные решебники 9 класс Все решебники
*К сожалению, временные проблемы с публикацией комментариев с мобильных устройств.