Упр.507 ГДЗ Макарычев Миндюк 9 класс (Алгебра)
Решение #1
Решение #2
Решение #3

Рассмотрим вариант решения задания из учебника Макарычев, Миндюк, Нешков 9 класс, Просвещение:
507 Решите систему уравнений
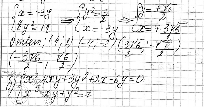
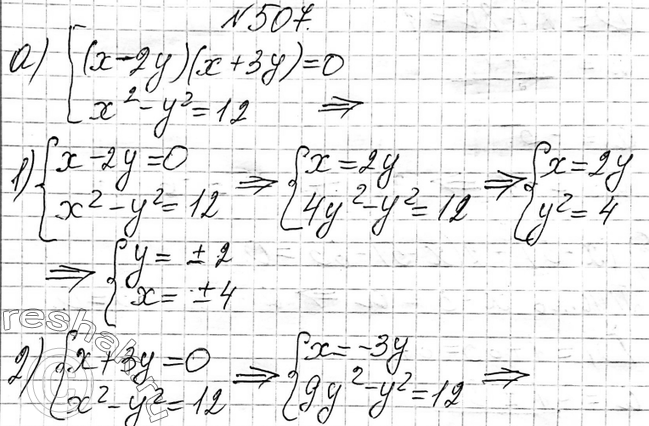
а) система
(x-2y)(x+3y)=0,
x2-y2=12;
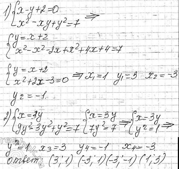
б) система
х2 - 4ху + 3у2 + 2х - 6у = 0,
х2 - ху + у2 = 7.
Похожие решебники
Популярные решебники 9 класс Все решебники
*размещая тексты в комментариях ниже, вы автоматически соглашаетесь с пользовательским соглашением