Упр.734 ГДЗ Мерзляк Полонский 7 класс (Алгебра)
Решение #1 (Учебник 2025)
Решение #2 (Учебник 2025)
Решение #3 (Учебник 2021)
Решение #4 (Учебник 2021)

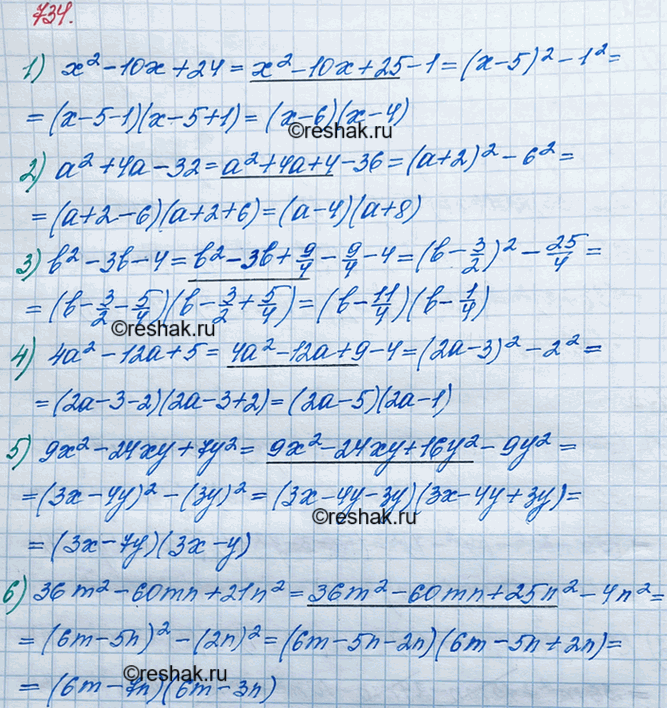
Рассмотрим вариант решения задания из учебника Мерзляк, Полонская, Якир 7 класс, Вентана-Граф:
Используя формулы сокращённого умножения, представьте в виде многочлена выражение:
1) (а + b + с) (а + b - с);
2) (а + b + с)(а - b - с);
3) (а + b + с + d)(a + b - с - d).
Разложите на множители трёхчлен, выделив предварительно квадрат двучлена:
1) х2 - 10х + 24;
2) а2 + 4а - 32;
3) b2 - 3b - 4 ;
4) 4а2 - 12а + 5;
5) 9х2 - 24ху + 7у2;
5) 9х2 - 24ху + 7у2;
6) 36m2 - 30xy + 21а2.
Похожие решебники
Популярные решебники 7 класс Все решебники
*К сожалению, временные проблемы с публикацией комментариев с мобильных устройств.