🔥ГДЗ под запретом?

Упр.5.58 ГДЗ Виленкин Жохов 6 класс Часть 2, Просвещение (Математика)

Решение #1 (Учебник 2023)

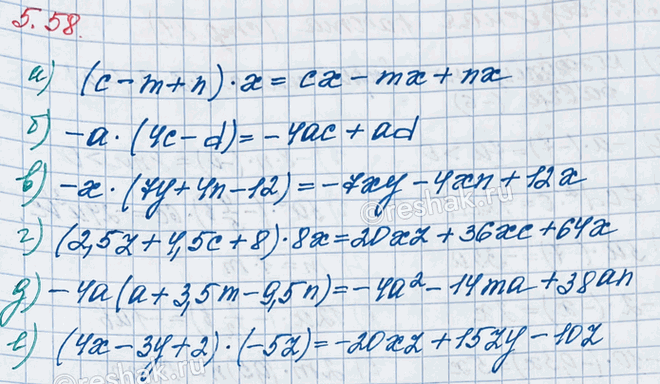
Изображение Раскройте скобки:а) (с - m + n) · x;       г) (2,5z + 4,5c + 8) · 8x;б) -а · (4с - d);         д) -4a · (a + 3,5m - 9,5n);в) -х · (7у + 4n - 12);   е) (4x - 3y +...

Решение #2 (Учебник 2023)

Изображение Раскройте скобки:а) (с - m + n) · x;       г) (2,5z + 4,5c + 8) · 8x;б) -а · (4с - d);         д) -4a · (a + 3,5m - 9,5n);в) -х · (7у + 4n - 12);   е) (4x - 3y +...

Рассмотрим вариант решения задания из учебника Виленкин, Жохов, Чесноков 6 класс, Просвещение:
Раскройте скобки:
а) (с - m + n) · x; г) (2,5z + 4,5c + 8) · 8x;
б) -а · (4с - d); д) -4a · (a + 3,5m - 9,5n);
в) -х · (7у + 4n - 12); е) (4x - 3y + 2) · (-5z).

*Цитирирование задания со ссылкой на учебник производится исключительно в учебных целях для лучшего понимания разбора решения задания.
*К сожалению, временные проблемы с публикацией комментариев с мобильных устройств.