🔥ГДЗ под запретом?

Упр.5.64 ГДЗ Виленкин Жохов 6 класс Часть 2, Просвещение (Математика)

Решение #1 (Учебник 2023)

Изображение Вычислите значение выражения:а) 3у - 3b + 7у - 5b + 7b при у = -0,24, b = 0,04:б) -6,3m + 8 - 3,2m - 5 при m = -2; m = - 1/8; m = -0,4.Для того, чтобы найти...

Решение #2 (Учебник 2023)

Изображение Вычислите значение выражения:а) 3у - 3b + 7у - 5b + 7b при у = -0,24, b = 0,04:б) -6,3m + 8 - 3,2m - 5 при m = -2; m = - 1/8; m = -0,4.Для того, чтобы найти...
Дополнительное изображение
Дополнительное изображение

Решение #3 (Учебник 2023)

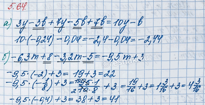
Изображение Вычислите значение выражения:а) 3у - 3b + 7у - 5b + 7b при у = -0,24, b = 0,04:б) -6,3m + 8 - 3,2m - 5 при m = -2; m = - 1/8; m = -0,4.Для того, чтобы найти...

Рассмотрим вариант решения задания из учебника Виленкин, Жохов, Чесноков 6 класс, Просвещение:
Вычислите значение выражения:
а) 3у - 3b + 7у - 5b + 7b при у = -0,24, b = 0,04:
б) -6,3m + 8 - 3,2m - 5 при m = -2; m = - 1/8; m = -0,4.
Для того, чтобы найти значение буквенного выражения при заданном значении букв, входящих в это выражение, необходимо вместо букв в выражение подставить числа, им соответствующие, и выполнить вычисления, при этом, если возможно, предварительно сократить имеющееся выражение.
В данном случае сократить выражение можно с помощью сложения подобных слагаемых.
Для того, чтобы сложить (привести) подобные слагаемые, необходимо сложить их коэффициенты и полученный результат умножить на общую буквенную часть.
При выполнении вычислений опираемся на следующие правила:
- для того, чтобы сложить два отрицательных числа, необходимо найти и сложить модули слагаемых; перед полученным числом поставить знак «-».
- для того, чтобы сложить два числа с разными знаками, необходимо найти модули слагаемых и из большего модуля вычесть меньший модуль; перед полученным числом поставить знак слагаемого с большим модулем.
- для того, чтобы из данного числа вычесть другое, необходимо к уменьшаемому прибавить число, противоположное вычитаемому.
- для того, чтобы умножить десятичную дробь на натуральное число, необходимо умножить их как натуральные числа, не обращая внимание на запятую; в полученном произведении отделить запятой справа столько цифр, сколько их стоит после запятой у умножаемой дроби.
- для того, чтобы перемножить две десятичные дроби, необходимо множить их как натуральные числа, не обращая внимание на запятые, и в полученном произведении отделить запятой справа столько цифр, сколько их стоит после запятых в обоих множителях вместе.
- произведением двух дробей является дробь, числитель которой равен произведению числителей, а знаменатель – произведению знаменателей.
При этом учитываем то, что любую десятичную дробь можно преобразовать в обыкновенную, у которой в знаменателе стоит единица с нулями (число нулей в знаменателе обыкновенной дроби равно числу знаков после запятой в десятичной дроби).
Также при вычислениях с обыкновенными дробями, если возможно, выполняем сокращение.
Если, выполнив умножение, получилась неправильная дробь (числитель больше знаменателя), то эту дробь преобразуем в смешанное число.
Для того, чтобы неправильную дробь, числитель которой нацело не делится на знаменатель, преобразовать в смешанное число, необходимо числитель разделить на знаменатель; полученное неполное частное записать как целую часть смешанного числа, а остаток – как числитель его дробной части.
а) 3y-3b+7y-5b+7b=(3y+7y)-(3b+5b-7b)=10y-b
При y=-0,24,b=0,04 :
10y-b=10•(-0,24)-0,04=-2,4-0,04=-(2,4+0,04)==-2,44
б) -6,3m+8-3,2m-5=(8-5)-(6,3m+3,2m)=3-9,5m
При m=-2 :
3-9,5m=3-9,5•(-2)=3+19=22
При m=-1/8 :
3-9,5m=3-9,5•(-1/8)=3+95/10•1/8=3+(5•19)/(2•5•8)=3+19/16=
=3+1 3/16=4 3/16
При m=-0,4 :
3-9,5m=3-9,5•(-0,4)=3+3,8=6,8

*Цитирирование задания со ссылкой на учебник производится исключительно в учебных целях для лучшего понимания разбора решения задания.
*К сожалению, временные проблемы с публикацией комментариев с мобильных устройств.