🔥ГДЗ под запретом?

Упр.5.60 ГДЗ Виленкин Жохов 6 класс Часть 2, Просвещение (Математика)

Решение #1 (Учебник 2023)

Изображение Найдите сумму подобных слагаемых:а) -8x + 6x - 4x + 3x;      е) -21c - 9c + 8,4c + 5,4c;б) 4a - 7a + 3a - 10a;      ж) 3/7 m + 3/7 m - 2/7 m - 6/7 m;в) 17c + 3c +...

Решение #2 (Учебник 2023)

Изображение Найдите сумму подобных слагаемых:а) -8x + 6x - 4x + 3x;      е) -21c - 9c + 8,4c + 5,4c;б) 4a - 7a + 3a - 10a;      ж) 3/7 m + 3/7 m - 2/7 m - 6/7 m;в) 17c + 3c +...
Дополнительное изображение

Решение #3 (Учебник 2023)

Изображение Найдите сумму подобных слагаемых:а) -8x + 6x - 4x + 3x;      е) -21c - 9c + 8,4c + 5,4c;б) 4a - 7a + 3a - 10a;      ж) 3/7 m + 3/7 m - 2/7 m - 6/7 m;в) 17c + 3c +...

Рассмотрим вариант решения задания из учебника Виленкин, Жохов, Чесноков 6 класс, Просвещение:
Найдите сумму подобных слагаемых:
а) -8x + 6x - 4x + 3x; е) -21c - 9c + 8,4c + 5,4c;
б) 4a - 7a + 3a - 10a; ж) 3/7 m + 3/7 m - 2/7 m - 6/7 m;
в) 17c + 3c + 10c - 5c; з) 1/3 z - 5/6 z + 1/2 z - 5/12 z;
г) -4,5x - x + 4,5x + x; и) y + 0,6y - 2/5 y - 1/4 y;
д) 5n + 7,3n - 7,7n - 5n; к) 0,6c - 0,73c - 3/5 c + 3/4 c.
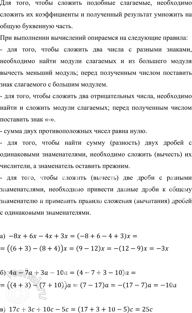
Для того, чтобы сложить подобные слагаемые, необходимо сложить их коэффициенты и полученный результат умножить на общую буквенную часть.
При выполнении вычислений опираемся на следующие правила:
- для того, чтобы сложить два числа с разными знаками, необходимо найти модули слагаемых и из большего модуля вычесть меньший модуль; перед полученным числом поставить знак слагаемого с большим модулем.
- для того, чтобы сложить два отрицательных числа, необходимо найти и сложить модули слагаемых; перед полученным числом поставить знак «-».
- сумма двух противоположных чисел равна нулю.
- для того, чтобы найти сумму (разность) двух дробей с одинаковыми знаменателями, необходимо сложить (вычесть) их числители, а знаменатель оставить прежним.
- для того, чтобы сложить (вычесть) две дроби с разными знаменателями, необходимо привести данные дроби к общему знаменателю и применить правило сложения (вычитания) дробей с одинаковыми знаменателями.
а) -8x+6x-4x+3x=(-8+6-4+3)x=((6+3)-(8+4))x=(9-12)x=-(12-9)x=-3x
б) 4a-7a+3a-10a=(4-7+3-10)a=((4+3)-(7+10))a=(7-17)a=-(17-7)a=-10a
в) 17c+3c+10c-5c=(17+3+10-5)c=25c
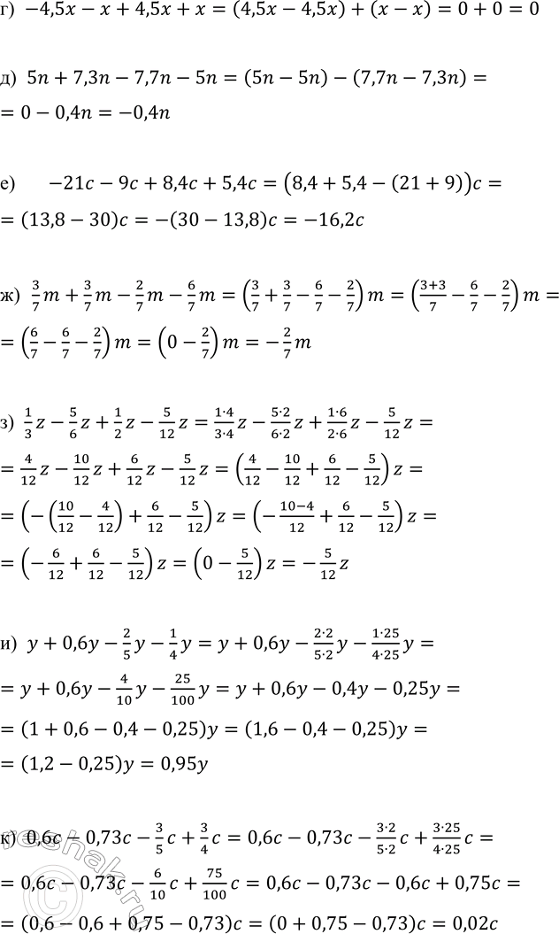
г) -4,5x-x+4,5x+x=(4,5x-4,5x)+(x-x)=0+0=0
д) 5n+7,3n-7,7n-5n=(5n-5n)-(7,7n-7,3n)=0-0,4n=-0,4n
е) -21c-9c+8,4c+5,4c=(8,4+5,4-(21+9))c=(13,8-30)c=-(30-13,8)c=-16,2c
ж) 3/7 m+3/7 m-2/7 m-6/7 m=(3/7+3/7-6/7-2/7)m=((3+3)/7-6/7-2/7)m=(6/7-6/7-2/7)m=(0-2/7)m=-2/7 m
з) 1/3 z-5/6 z+1/2 z-5/12 z=(1•4)/(3•4) z-(5•2)/(6•2) z+(1•6)/(2•6) z-5/12 z=4/12 z-10/12 z+6/12 z-5/12 z=(4/12-10/12+6/12-5/12)z=(-(10/12-4/12)+6/12-5/12)z=(-(10-4)/12+6/12-5/12)z=(-6/12+6/12-5/12)z=(0-5/12)z=-5/12 z
и) y+0,6y-2/5 y-1/4 y=y+0,6y-(2•2)/(5•2) y-(1•25)/(4•25) y=y+0,6y-4/10 y-25/100 y=y+0,6y-0,4y-0,25y=(1+0,6-0,4-0,25)y=(1,6-0,4-0,25)y=(1,2-0,25)y=0,95y
к) 0,6c-0,73c-3/5 c+3/4 c=0,6c-0,73c-(3•2)/(5•2) c+(3•25)/(4•25) c=0,6c-0,73c-6/10 c+75/100 c=0,6c-0,73c-0,6c+0,75c=(0,6-0,6+0,75-0,73)c=(0+0,75-0,73)c=0,02c

*Цитирирование задания со ссылкой на учебник производится исключительно в учебных целях для лучшего понимания разбора решения задания.
*К сожалению, временные проблемы с публикацией комментариев с мобильных устройств.