🔥ГДЗ под запретом?

Упр.5.61 ГДЗ Виленкин Жохов 6 класс Часть 2, Просвещение (Математика)

Решение #1 (Учебник 2023)

Изображение Приводите подобные слагаемые:а) 20x + y - 20y - x;                е) -9c + 8c - y + 13;б) -4b + 5a + 4b +                   ж) 42a - 42 + 50 + 4a;в) -9c + 4,8n +...

Решение #2 (Учебник 2023)

Изображение Приводите подобные слагаемые:а) 20x + y - 20y - x;                е) -9c + 8c - y + 13;б) -4b + 5a + 4b +                   ж) 42a - 42 + 50 + 4a;в) -9c + 4,8n +...
Дополнительное изображение

Решение #3 (Учебник 2023)

Изображение Приводите подобные слагаемые:а) 20x + y - 20y - x;                е) -9c + 8c - y + 13;б) -4b + 5a + 4b +                   ж) 42a - 42 + 50 + 4a;в) -9c + 4,8n +...

Рассмотрим вариант решения задания из учебника Виленкин, Жохов, Чесноков 6 класс, Просвещение:
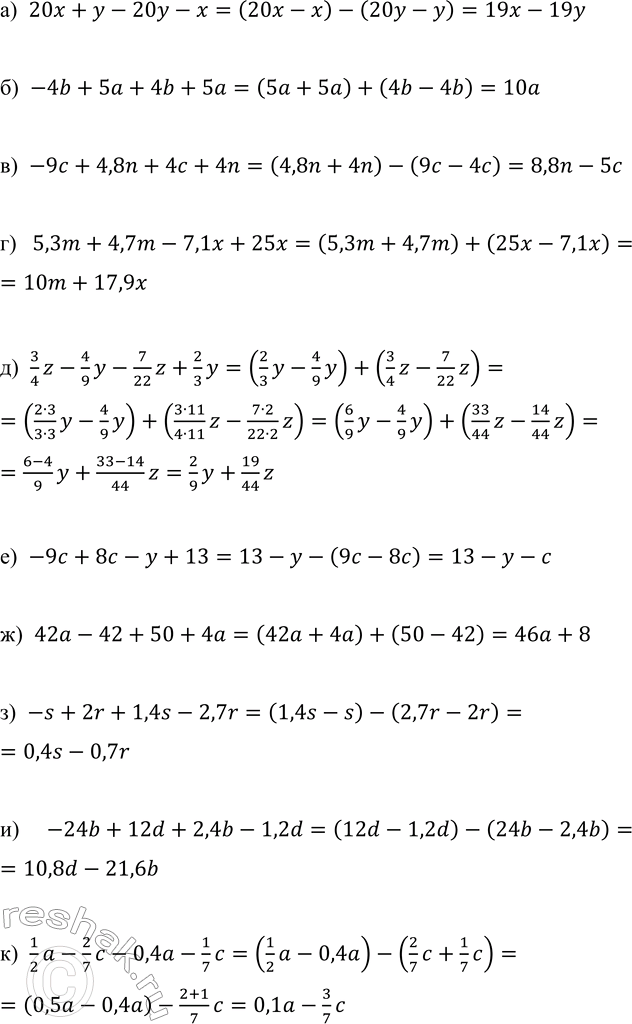
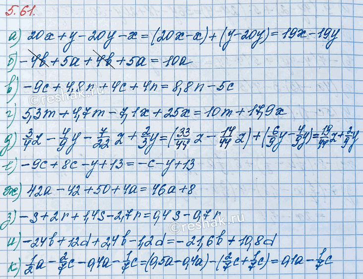
Приводите подобные слагаемые:
а) 20x + y - 20y - x; е) -9c + 8c - y + 13;
б) -4b + 5a + 4b + ж) 42a - 42 + 50 + 4a;
в) -9c + 4,8n + 4c + 4n; з) -s + 2r + 1,4s - 2,7r;
г) 5,3m + 4,7m - 7,1x + 25x; и) -24b + 12d + 2,4b - 1,2d;
д) 3/4 z - 4/9 y - 7/22 z + 2/3 y; к) 1/2 a - 2/7 c - 0,4a - 1/7 c.

Для того чтобы сложить (привести) подобные слагаемые, необходимо сложить их коэффициенты и полученный результат умножить на общую буквенную часть.
При выполнении вычислений опираемся на следующие правила:
- для того, чтобы сложить числа с разными знаками, необходимо найти модули слагаемых и из большего модуля вычесть меньший модуль; перед полученным числом поставить знак слагаемого с большим модулем.
- для того, чтобы сложить два отрицательных числа, необходимо найти модули слагаемых и сложить их; перед полученным числом поставить знак «-».
- для того, чтобы из данного числа вычесть другое, необходимо к уменьшаемому прибавить число, противоположное вычитаемому.
- для того чтобы найти сумму (разность) двух дробей с одинаковыми знаменателями, необходимо сложить (вычесть) их числители, а знаменатель оставить прежним.
- для того, чтобы сложить (вычесть) две дроби с разными знаменателями, необходимо привести данные дроби к общему знаменателю и применить правило сложения (вычитания) дробей с одинаковыми знаменателями, то есть нужно сложить (вычесть) их числители, а знаменатель оставить прежним.
Также учитываем то, что дробь, у которой числитель и знаменатель, одинаковые числа, равна единице.
а) 20x+y-20y-x=(20x-x)-(20y-y)=19x-19y
б) -4b+5a+4b+5a=(5a+5a)+(4b-4b)=10a
в) -9c+4,8n+4c+4n=(4,8n+4n)-(9c-4c)=8,8n-5c
г) 5,3m+4,7m-7,1x+25x=(5,3m+4,7m)+(25x-7,1x)==10m+17,9x
д) 3/4 z-4/9 y-7/22 z+2/3 y=(2/3 y-4/9 y)+(3/4 z-7/22 z)=((2•3)/(3•3) y-4/9 y)+((3•11)/(4•11) z-(7•2)/(22•2) z)=(6/9 y-4/9 y)+(33/44 z-14/44 z)=(6-4)/9 y+(33-14)/44 z=2/9 y+19/44 z
е) -9c+8c-y+13=13-y-(9c-8c)=13-y-c
ж) 42a-42+50+4a=(42a+4a)+(50-42)=46a+8
з) -s+2r+1,4s-2,7r=(1,4s-s)-(2,7r-2r)=0,4s-0,7r
и) -24b+12d+2,4b-1,2d=(12d-1,2d)-(24b-2,4b)==10,8d-21,6b
к) 1/2 a-2/7 c-0,4a-1/7 c=(1/2 a-0,4a)-(2/7 c+1/7 c)=(0,5a-0,4a)-(2+1)/7 c=0,1a-3/7 c

*Цитирирование задания со ссылкой на учебник производится исключительно в учебных целях для лучшего понимания разбора решения задания.
*К сожалению, временные проблемы с публикацией комментариев с мобильных устройств.