Упр.43.6 ГДЗ Мерзляк 10 класс Углубленный уровень (Алгебра)
Решение #1

Рассмотрим вариант решения задания из учебника Мерзляк, Номировский, Поляков 10 класс, Просвещение:
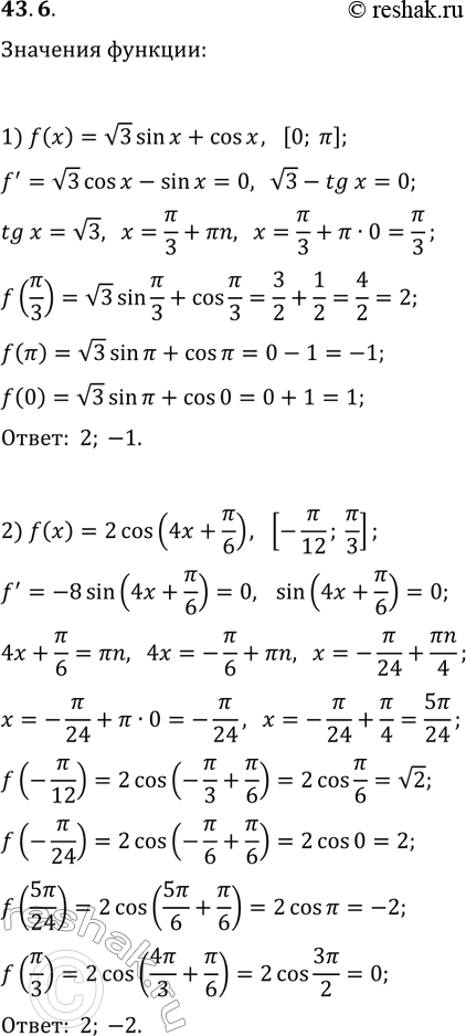
43.6. Найдите наибольшее и наименьшее значения функции f на указанном отрезке:
1) f(x)=v3sin(x)+cos(x), [0; ?]; 2) f(x)=2cos(4x+?/6), [-?/12; ?/3].
Похожие решебники
Популярные решебники 10 класс Все решебники
*размещая тексты в комментариях ниже, вы автоматически соглашаетесь с пользовательским соглашением