Упр.43.3 ГДЗ Мерзляк 10 класс Углубленный уровень (Алгебра)
Решение #1

Рассмотрим вариант решения задания из учебника Мерзляк, Номировский, Поляков 10 класс, Просвещение:
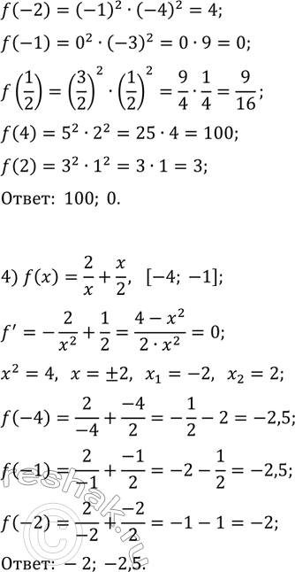
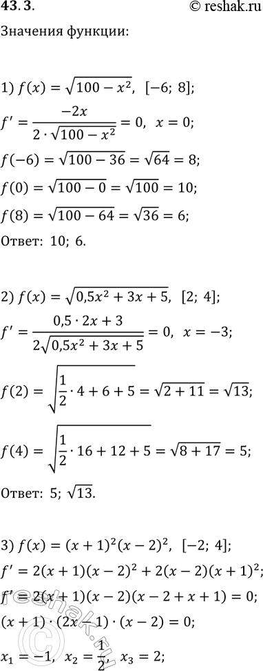
43.3. Найдите наибольшее и наименьшее значения функции f на указанном отрезке:
1) f(x)=v(100-x^2), [-6; 8]; 3) f(x)=(x+1)^2 (x-2)^2, [-2; 4];
2) f(x)=v(0,5x^2+3x+5), [2; 4]; 4) f(x)=2/x+x/2, [-4; -1].
Похожие решебники
Популярные решебники 10 класс Все решебники
*размещая тексты в комментариях ниже, вы автоматически соглашаетесь с пользовательским соглашением