Упр.43.2 ГДЗ Мерзляк 10 класс Углубленный уровень (Алгебра)
Решение #1

Рассмотрим вариант решения задания из учебника Мерзляк, Номировский, Поляков 10 класс, Просвещение:
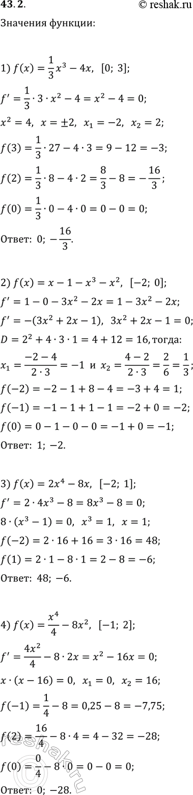
43.2. Найдите наибольшее и наименьшее значения функции f на указанном отрезке:
1) f(x)=1/3 x^3-4x, [0; 3]; 3) f(x)=2x^4-8x, [-2; 1];
2) f(x)=x-1-x^3-x^2, [-2; 0]; 4) f(x)=x^4/4-8x^2, [-1; 2].
Похожие решебники
Популярные решебники 10 класс Все решебники
*размещая тексты в комментариях ниже, вы автоматически соглашаетесь с пользовательским соглашением