Упр.43.4 ГДЗ Мерзляк 10 класс Углубленный уровень (Алгебра)
Решение #1

Рассмотрим вариант решения задания из учебника Мерзляк, Номировский, Поляков 10 класс, Просвещение:
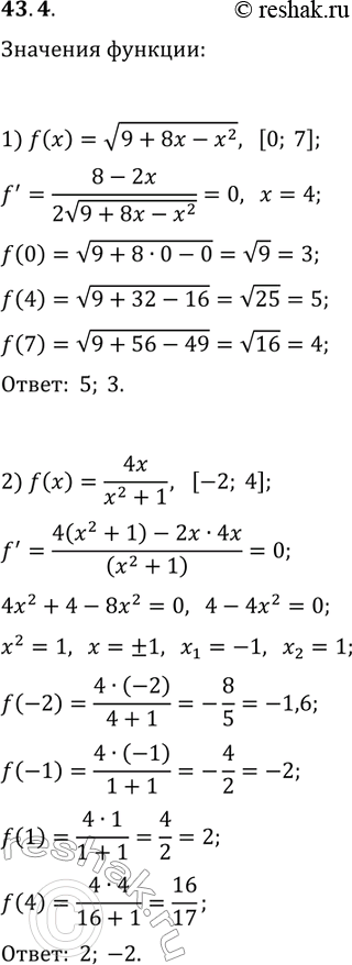
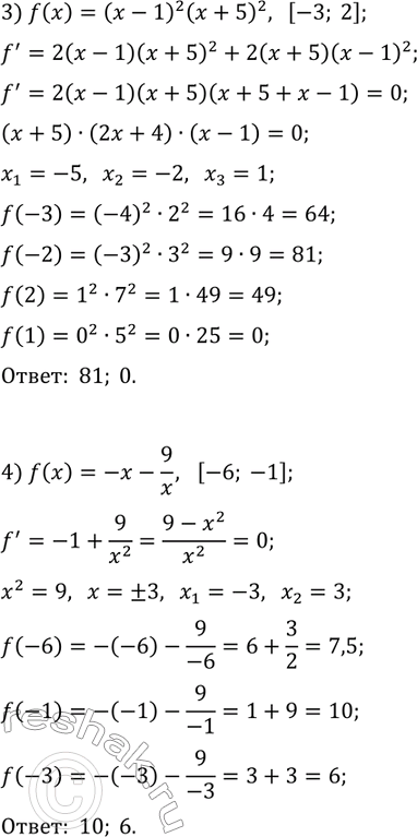
43.4. Найдите наибольшее и наименьшее значения функции f на указанном отрезке:
1) f(x)=v(9+8x-x^2), [0; 7]; 3) f(x)=(x-1)^2 (x+5)^2, [-3; 2];
2) f(x)=4x/(x^2+1), [-2; 4]; 4) f(x)=-x-9/x, [-6; -1].
Похожие решебники
Популярные решебники 10 класс Все решебники
*размещая тексты в комментариях ниже, вы автоматически соглашаетесь с пользовательским соглашением