Упр.43.9 ГДЗ Мерзляк 10 класс Углубленный уровень (Алгебра)
Решение #1

Рассмотрим вариант решения задания из учебника Мерзляк, Номировский, Поляков 10 класс, Просвещение:
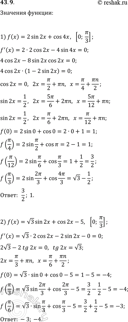
43.9. Найдите наибольшее и наименьшее значения функции f на указанном отрезке:
1) f(x)=2sin(2x)+cos(4x), [0; ?/3]; 2) f(x)=v3sin(2x)+cos(2x)-5, [0; ?/3].
Похожие решебники
Популярные решебники 10 класс Все решебники
*размещая тексты в комментариях ниже, вы автоматически соглашаетесь с пользовательским соглашением