Упр.43.1 ГДЗ Мерзляк 10 класс Углубленный уровень (Алгебра)
Решение #1

Рассмотрим вариант решения задания из учебника Мерзляк, Номировский, Поляков 10 класс, Просвещение:
43.1. Найдите наибольшее и наименьшее значения функции f на указанном отрезке:
1) f(x)=3x^2-x^3, [-1; 3]; 2) f(x)=x^4-2x^2+5, [0; 2];
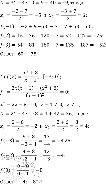
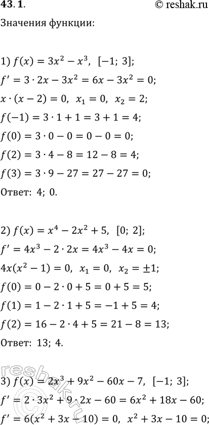
3) f(x)=2x^3+9x^2-60x-7, [-1; 3]; 4) f(x)=(x^2+8)/(x-1), [-3; 0].
Похожие решебники
Популярные решебники 10 класс Все решебники
*размещая тексты в комментариях ниже, вы автоматически соглашаетесь с пользовательским соглашением