Упр.625 ГДЗ Макарычев Миндюк 8 класс (Алгебра)
Решение #1 (Учебник 2024)
Решение #2 (Учебник 2019)
Решение #3 (Учебник 2019)
Решение #4 (Учебник 2019)

Рассмотрим вариант решения задания из учебника Макарычев, Миндюк, Нешков 8 класс, Просвещение:
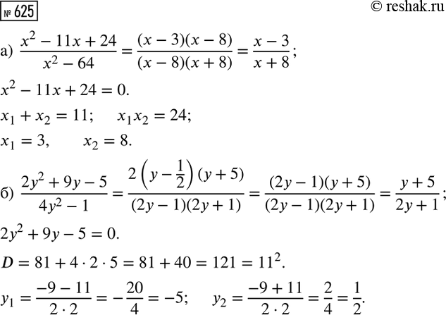
Сократите дробь:
а) (x^2 - 11x + 24)/(x^2 - 64);
б) (2y^2 + 9y - 5)/(4y^2 - 1).
Старинная задача. Несколько человек обедали вместе и по счёту должны были уплатить 175 шиллингов. Оказалось, что у двоих не было при себе денег. Поэтому каждому из остальных пришлось уплатить на 10 шиллингов больше, чем приходилось на его долю. Сколько человек обедало?
Похожие решебники
Популярные решебники 8 класс Все решебники
*размещая тексты в комментариях ниже, вы автоматически соглашаетесь с пользовательским соглашением