Упр.629 ГДЗ Макарычев Миндюк 8 класс (Алгебра)
Решение #1 (Учебник 2024)
Решение #2 (Учебник 2019)
Решение #3 (Учебник 2019)
Решение #4 (Учебник 2019)

Рассмотрим вариант решения задания из учебника Макарычев, Миндюк, Нешков 8 класс, Просвещение:
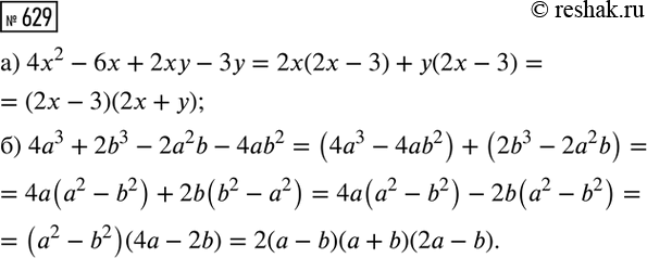
Разложите на множители многочлен:
а) 4x^2 - 6x + 2xy - 3y; б) 4a^3 + 2b^3 - 2a^2b - 4ab^2.
Катер, развивающий в стоячей воде скорость 20 км/ч, прошёл 36 км против течения и 22 км по течению, затратив на весь путь 3 ч. Найдите скорость течения реки.
Похожие решебники
Популярные решебники 8 класс Все решебники
*К сожалению, временные проблемы с публикацией комментариев с мобильных устройств.