Упр.626 ГДЗ Макарычев Миндюк 8 класс (Алгебра)
Решение #1 (Учебник 2024)
Решение #2 (Учебник 2019)
Решение #3 (Учебник 2019)
Решение #4 (Учебник 2019)

Рассмотрим вариант решения задания из учебника Макарычев, Миндюк, Нешков 8 класс, Просвещение:
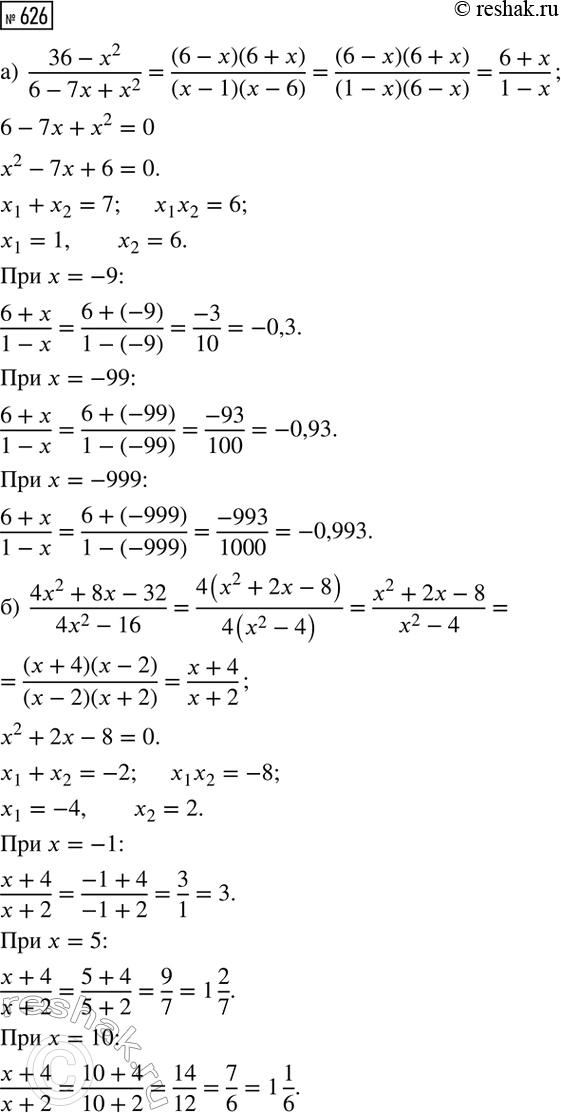
Найдите значение дроби:
а) (36 - x^2)/(6 - 7x + x^2) при x = -9; -99; -999;
б) (4x^2 + 8x - 32)/(4x^2 - 16) при x = -1; 5; 10.
Сотрудники отдела решили совместно приобрести холодильник за 7200 р. Однако трое отказались участвовать в покупке, и остальным пришлось уплатить на 200 р. больше, чем предполагалось. Сколько сотрудников работает в отделе?
Похожие решебники
Популярные решебники 8 класс Все решебники
*размещая тексты в комментариях ниже, вы автоматически соглашаетесь с пользовательским соглашением