Упр.628 ГДЗ Макарычев Миндюк 8 класс (Алгебра)
Решение #1 (Учебник 2024)
Решение #2 (Учебник 2019)
Решение #3 (Учебник 2019)
Решение #4 (Учебник 2019)

Рассмотрим вариант решения задания из учебника Макарычев, Миндюк, Нешков 8 класс, Просвещение:
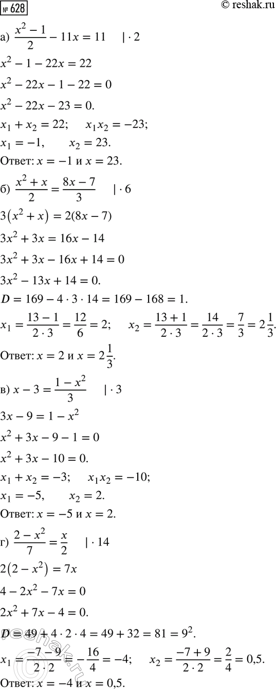
Решите уравнение:
а) (x^2 - 1)/2 - 11x = 11;
б) (x^2 + x)/2 = (8x - 7)/3;
в) x - 3 = (1 - x^2)/3;
г) (2 - x^2)/7 = x/2.
Моторная лодка, скорость которой в стоячей воде 15 км/ч, прошла по течению реки 35 км, а против течения 25 км. По течению она шла столько же времени, сколько против течения. Какова скорость течения реки?
Похожие решебники
Популярные решебники 8 класс Все решебники
*К сожалению, временные проблемы с публикацией комментариев с мобильных устройств.