Упр.624 ГДЗ Макарычев Миндюк 8 класс (Алгебра)
Решение #1 (Учебник 2024)
Решение #2 (Учебник 2019)
Решение #3 (Учебник 2019)
Решение #4 (Учебник 2019)

Рассмотрим вариант решения задания из учебника Макарычев, Миндюк, Нешков 8 класс, Просвещение:
Сократите дробь:
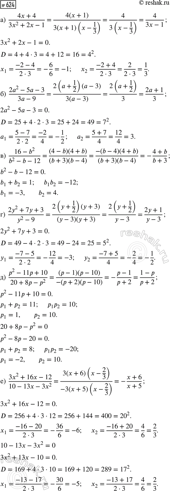
а) (4x + 4)/(3x^2 + 2x - 1);
б) (2a^2 - 5a - 3)/(3a - 9);
в) (16 - b^2)/(b^2 - b - 12);
г) (2y^2 + 7y + 3)/(y^2 - 9);
д) (p^2 - 11p + 10)/(20 + 8p - p^2);
е) (3x^2 + 16x - 12)/(10 - 13x - 3x^2).
Предприниматель приобрёл акции одинаковой стоимости на 110 000 р. Если бы он отложил покупку на год, то сумел бы приобрести на эту сумму на 20 акций меньше, так как цена одной акции данного вида возросла за этот год на 50 р. Сколько акций приобрёл предприниматель?
Похожие решебники
Популярные решебники 8 класс Все решебники
*размещая тексты в комментариях ниже, вы автоматически соглашаетесь с пользовательским соглашением