Контрольные вопросы Параграф 8 ГДЗ Макарычев Миндюк 8 класс (Алгебра)
Решение #1 (Учебник 2024)
Решение #2 (Учебник 2019)

Рассмотрим вариант решения задания из учебника Макарычев, Миндюк, Нешков 8 класс, Просвещение:
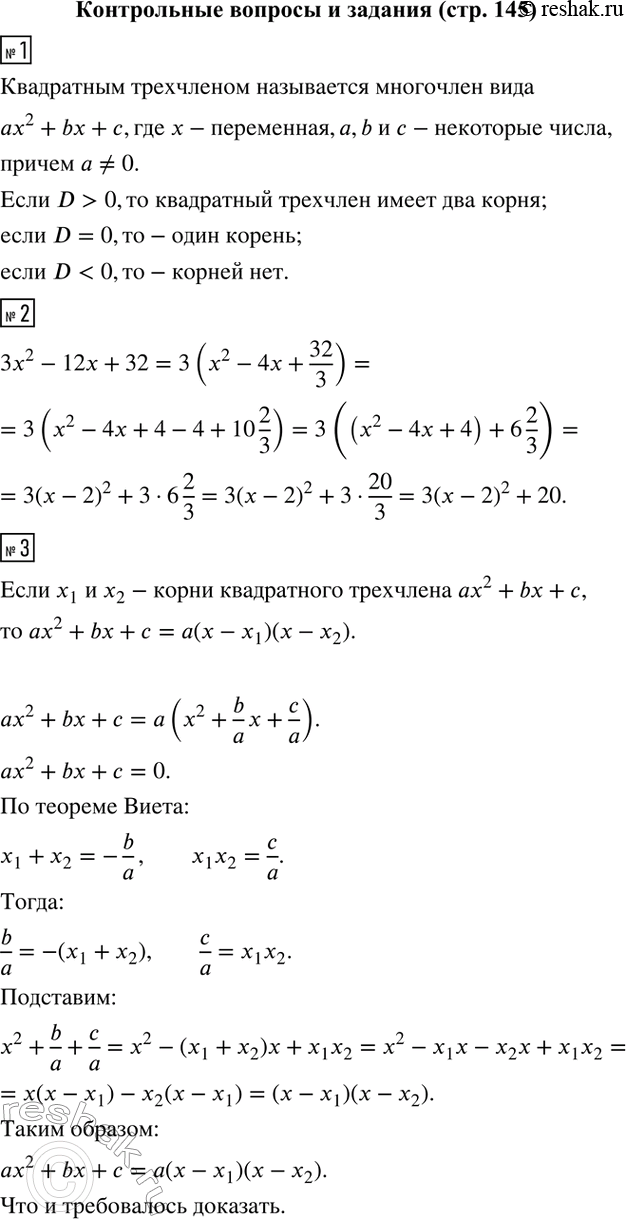
Дайте определение квадратного трёхчлена. Сколько корней может иметь квадратный трёхчлен?
2. Покажите на примере выражения 3х^2 - 12x + 32, как можно выделить квадрат двучлена из квадратного трехчлена.
3. Сформулируйте и докажите теорему о разложении на множители квадратного трёхчлена, имеющего корни.
Похожие решебники
Популярные решебники 8 класс Все решебники
*К сожалению, временные проблемы с публикацией комментариев с мобильных устройств.