Упр.618 ГДЗ Макарычев Миндюк 8 класс (Алгебра)
Решение #1 (Учебник 2024)
Решение #2 (Учебник 2019)
Решение #3 (Учебник 2019)
Решение #4 (Учебник 2019)

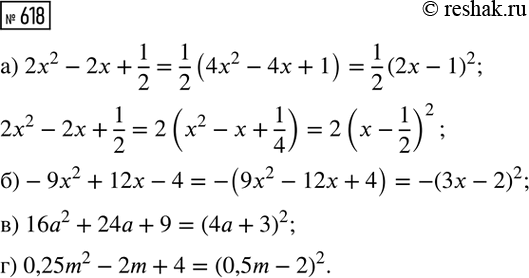
Рассмотрим вариант решения задания из учебника Макарычев, Миндюк, Нешков 8 класс, Просвещение:
Разложите на множители квадратный трёхчлен:
а) 2х^2 - 2х + 1/2; в) 16а^2 + 24а + 9;
б) -9х^2 + 12х - 4; г) 0,25m^2 - 2m + 4.
Из города в село, находящееся от него на расстоянии 120 км, выехали одновременно два автомобиля. Скорость одного была на 20 км/ч больше скорости другого, и поэтому он пришёл к месту назначения на 1 ч раньше. Найдите скорость каждого автомобиля.
Похожие решебники
Популярные решебники 8 класс Все решебники
*К сожалению, временные проблемы с публикацией комментариев с мобильных устройств.