🔥ГДЗ под запретом?

Упр.91 ГДЗ Атанасян 7-9 класс по геометрии (Геометрия)

Решение #1 (Учебник 2025)

Изображение Периметр треугольника равен 48 см, а одна из сторон равна 18 см. Найдите две другие стороны, если их разность равна 4,6...

Решение #2 (Учебник 2023)

Изображение Периметр треугольника равен 48 см, а одна из сторон равна 18 см. Найдите две другие стороны, если их разность равна 4,6...

Рассмотрим вариант решения задания из учебника Атанасян, Бутузов 7 класс, Просвещение:
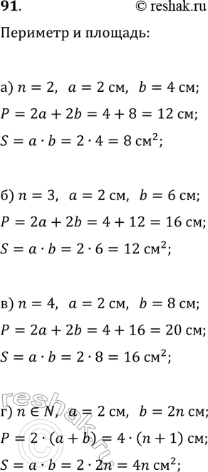
91. Найдите площадь и периметр прямоугольника, если прямоугольник сложили: а) из двух квадратов с периметрами 8 см; б) из трёх квадратов с периметрами 8 см; в) из четырёх квадратов с периметрами 8 см; г) из n (n — натуральное число, большее 1) квадратов с периметрами 8 см.

Периметр и площадь:
а) n=2, a=2 см, b=4 см;
P=2a+2b=4+8=12 см;
S=a•b=2•4=8 см^2;
б) n=3, a=2 см, b=6 см;
P=2a+2b=4+12=16 см;
S=a•b=2•6=12 см^2;
в) n=4, a=2 см, b=8 см;
P=2a+2b=4+16=20 см;
S=a•b=2•8=16 см^2;
г) n принадлежит N, a=2 см, b=2n см;
P=2•(a+b)=4•(n+1) см;
S=a•b=2•2n=4n см^2.

Периметр треугольника равен 48 см, а одна из сторон равна 18 см. Найдите две другие стороны, если их разность равна 4,6 см.

*Цитирирование задания со ссылкой на учебник производится исключительно в учебных целях для лучшего понимания разбора решения задания.
*К сожалению, временные проблемы с публикацией комментариев с мобильных устройств.