🔥ГДЗ под запретом?

Проверьте себя Пункт 18 ГДЗ Виленкин Жохов 6 класс Часть 1, Просвещение (Математика)

Решение #1 (Учебник 2023)

Изображение Проверочная работа № 1. Нахождение целого по его частиНайдите частное:1. Восьми девятых и четырёх.2. Двух третьих и одной второй.3. Какое число втрое меньше...
Дополнительное изображение
Дополнительное изображение
Дополнительное изображение
Дополнительное изображение

Решение #2 (Учебник 2021)

Изображение Проверочная работа № 1. Нахождение целого по его частиНайдите частное:1. Восьми девятых и четырёх.2. Двух третьих и одной второй.3. Какое число втрое меньше...
Дополнительное изображение
Дополнительное изображение

Решение #3 (Учебник 2021)

Изображение Проверочная работа № 1. Нахождение целого по его частиНайдите частное:1. Восьми девятых и четырёх.2. Двух третьих и одной второй.3. Какое число втрое меньше...
Дополнительное изображение

Рассмотрим вариант решения задания из учебника Виленкин, Жохов, Чесноков 6 класс, Просвещение:
Проверочная работа № 1
1. Найдите отношение:
а) 125 к 5; в) 0,4 к 25; д) 2 3/4 к 3 1/5;
б) 5 к 125; г) 0,7 к 0,2; е) 4 2/7 к 0,14.
2. Найдите отношение величин:
а) 4 кг к 1 т; г) 10 а к 500 га;
б) 45 мин к 1 ч 15 мин; д) 80 л к 2 м^3;
в) 28 дм к 3 м; е) 12 км к 2 ч.
3. Выразите в процентах отношение:
а) 2 мм к 1 см; б) 3 мин к 1 ч.
4. Верно ли?
а) Произведение двух взаимно обратных отношений равно 1.
б) Частное двух взаимно обратных отношений равно 1.
в) Отношение двух чисел уменьшится, если каждое из них разделить на 5.
г) Отношение а : b показывает какую часть число а составляет от числа b.
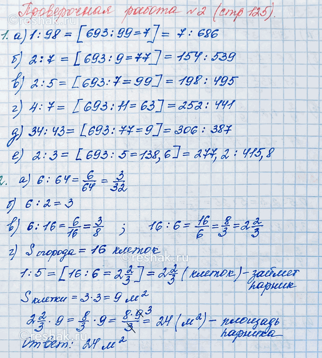
Проверочная работа № 2
1. Разделите число 693 в отношении:
а) 1 : 98; г) 4 : 7;
б) 2 : 7; д) 34 : 43;
в) 2 : 5; е) 2 : 3.
2. Рассмотрите рисунок 3.1 и ответьте на вопросы.
а) Какую часть площадь дома составляет от площади участка?
б) Во сколько раз площадь гаража меньше площади дома?
в) Найдите отношение площади дома к площади огорода и отношение площади города к площади дома.
г) Площадь выделенную под огород планируют разделить в отношении 1 : 5. Меньшую из полученных площадей займёт парник. Найдите площадь парника.

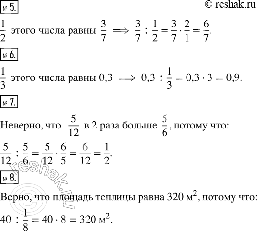
Проверочная работа № 1. Нахождение целого по его части
Найдите частное:
1. Восьми девятых и четырёх.
2. Двух третьих и одной второй.
3. Какое число втрое меньше шести седьмых?
Найдите число, если:
4. Три пятых этого числа равны пятнадцати.
5. Половина этого числа равна трём седьмым.
6. Одна третья этого числа равна нулю целых трём десятым.
Верно ли высказывание (ответьте да или нет)?
7. Пять двенадцатых вдвое больше пяти шестых.
8. Площадь теплицы — сорок квадратных метров, что составляет одну восьмую площади огорода. Значит, площадь огорода равна трёмстам двадцати квадратным метрам.
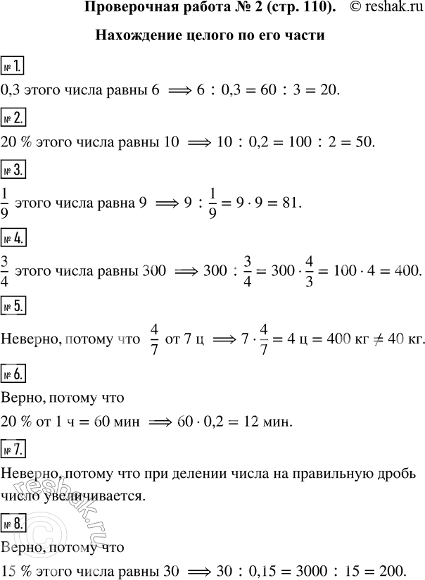
Проверочная работа № 2. Нахождение целого по его части
Найдите число, если:
1. Нуль целых три десятых этого числа равны шести.
2. Двадцать процентов этого числа равны десяти.
3. Девятая часть этого числа равна девяти.
4. Три четвёртых этого числа равны трёмстам.
Верно ли высказывание (ответьте да или нет)?
5. Сорок килограммов составляют четыре седьмых от семи центнеров.
6. Двенадцать минут составляют двадцать процентов одного часа.
7. Если число разделить на правильную дробь, то частное окажется меньше этого числа.
8. Если пятнадцать процентов некоторого числа равны тридцати, то это число равно двумстам.

*Цитирирование задания со ссылкой на учебник производится исключительно в учебных целях для лучшего понимания разбора решения задания.
*К сожалению, временные проблемы с публикацией комментариев с мобильных устройств.