🔥ГДЗ под запретом?

Упр.3.43 ГДЗ Виленкин Жохов 6 класс Часть 1, Просвещение (Математика)

Решение #1 (Учебник 2023)

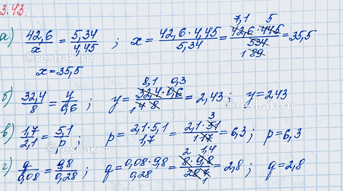
Изображение Найдите корень уравнения:а) 42,6/x = 5,34/4,45;   б) 32,4/8 = y/0,6;   в) 1,7/2,1 = 5,1/p;   г) q/0,08 = 9,8/0,28.Для того, чтобы найти неизвестный член пропорции...

Решение #2 (Учебник 2023)

Изображение Найдите корень уравнения:а) 42,6/x = 5,34/4,45;   б) 32,4/8 = y/0,6;   в) 1,7/2,1 = 5,1/p;   г) q/0,08 = 9,8/0,28.Для того, чтобы найти неизвестный член пропорции...
Дополнительное изображение

Решение #3 (Учебник 2023)

Изображение Найдите корень уравнения:а) 42,6/x = 5,34/4,45;   б) 32,4/8 = y/0,6;   в) 1,7/2,1 = 5,1/p;   г) q/0,08 = 9,8/0,28.Для того, чтобы найти неизвестный член пропорции...

Рассмотрим вариант решения задания из учебника Виленкин, Жохов, Чесноков 6 класс, Просвещение:
Найдите корень уравнения:
а) 42,6/x = 5,34/4,45; б) 32,4/8 = y/0,6; в) 1,7/2,1 = 5,1/p; г) q/0,08 = 9,8/0,28.
Для того, чтобы найти неизвестный член пропорции используем то, что произведение крайних членов пропорции равно произведению её средних членов.
Далее выражаем неизвестный множитель из полученного уравнения.
Для того, чтобы найти неизвестный множитель, необходимо произведение разделить на известный множитель.
Для того, чтобы перемножить две десятичные дроби, необходимо умножить их как натуральные числа, не обращая внимание на запятые; в полученном произведении отделить запятой справа столько цифр, сколько их стоит после запятых в обоих множителях вместе.
а) 42,6/x=5,34/4,45
42,6•4,45=x•5,34
x=(42,6•4,45)/5,34
x=(426•445)/5340
x=(2•213•5•89)/(2•2•5•267)
x=(3•71•89)/(2•3•89)
x=71/2
x=35,5
б) 32,4/8=y/0,6
32,4•0,6=8•y
y=(32,4•0,6)/8
y=(4•8,1•2•0,3)/(2•4)
y=2,43/1
y=2,43
в) 1,7/2,1=5,1/p
1,7•p=2,1•5,1
p=(2,1•5,1)/1,7
p=(2,1•3•1,7)/1,7
p=6,3/1
p=6,3
г) q/0,08=9,8/0,28
q•0,28=0,08•9,8
q=(0,08•9,8)/0,28
q=(8•9,8)/28
q=(2•4•7•1,4)/(4•7)
q=2,8/1
q=2,8

*Цитирирование задания со ссылкой на учебник производится исключительно в учебных целях для лучшего понимания разбора решения задания.
*К сожалению, временные проблемы с публикацией комментариев с мобильных устройств.