🔥ГДЗ под запретом?

Упр.3.42 ГДЗ Виленкин Жохов 6 класс Часть 1, Просвещение (Математика)

Решение #1 (Учебник 2023)

Изображение Найдите неизвестный член пропорции: a) t : 42,4 = 26,1 : 63,6;      в) 4,5 : 2,25 = у : 3,5;6) 4 1/2 : 2 2/5 = 3 1/4 : t;   г) 25/6 : x = 20/21 : 4/7.Для того,...
Дополнительное изображение

Решение #2 (Учебник 2023)

Изображение Найдите неизвестный член пропорции: a) t : 42,4 = 26,1 : 63,6;      в) 4,5 : 2,25 = у : 3,5;6) 4 1/2 : 2 2/5 = 3 1/4 : t;   г) 25/6 : x = 20/21 : 4/7.Для того,...
Дополнительное изображение
Дополнительное изображение

Решение #3 (Учебник 2023)

Изображение Найдите неизвестный член пропорции: a) t : 42,4 = 26,1 : 63,6;      в) 4,5 : 2,25 = у : 3,5;6) 4 1/2 : 2 2/5 = 3 1/4 : t;   г) 25/6 : x = 20/21 : 4/7.Для того,...

Рассмотрим вариант решения задания из учебника Виленкин, Жохов, Чесноков 6 класс, Просвещение:
Найдите неизвестный член пропорции:
a) t : 42,4 = 26,1 : 63,6; в) 4,5 : 2,25 = у : 3,5;
6) 4 1/2 : 2 2/5 = 3 1/4 : t; г) 25/6 : x = 20/21 : 4/7.
Для того, чтобы найти неизвестный член пропорции используем то, что произведение крайних членов пропорции равно произведению её средних членов.
Далее выражаем неизвестный множитель из полученного уравнения.
Для того, чтобы найти неизвестный множитель, необходимо произведение разделить на известный множитель.
При выполнении вычислений опираемся на следующие правила:
- произведением двух дробей является дробь, числитель которой равен произведению числителей, а знаменатель - произведению знаменателей.
- для того, чтобы выполнить умножение (деление) смешанных чисел, их необходимо преобразовать в неправильные дроби, а затем воспользоваться правилом умножения дробей.
- для того, чтобы перемножить две десятичные дроби, необходимо умножить их как натуральные числа, не обращая внимание на запятые; в полученном произведении отделить запятой справа столько цифр, сколько их стоит после запятых в обоих множителях вместе.
- для того, чтобы преобразовать смешанное число в неправильную дробь, необходимо целую часть числа умножить на знаменатель дробной части и к полученному произведению прибавить числитель дробной части; эту сумму записать как числитель неправильной дроби, а в её знаменатель записать знаменатель дробной части смешанного числа.
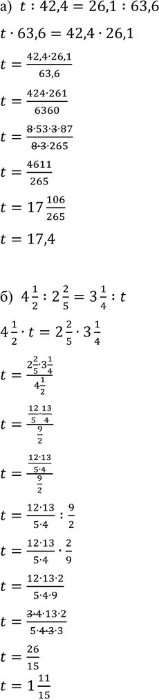
а) t:42,4=26,1:63,6
t•63,6=42,4•26,1
t=(42,4•26,1)/63,6
t=(424•261)/6360
t=(8•53•3•87)/(8•3•265)
t=4611/265
t=17 106/265
t=17,4
б) 4 1/2 :2 2/5=3 1/4 :t
4 1/2•t=2 2/5•3 1/4
t=(2 2/5•3 1/4)/(4 1/2)
t=(12/5•13/4)/(9/2)
t=((12•13)/(5•4))/(9/2)
t=(12•13)/(5•4) :9/2
t=(12•13)/(5•4)•2/9
t=(12•13•2)/(5•4•9)
t=(3•4•13•2)/(5•4•3•3)
t=26/15
t=1 11/15
в) 4,5:2,25=y:3,5
4,5•3,5=2,25•y
y=(4,5•3,5)/2,25
y=(45•35)/225
y=(5•9•5•7)/(5•5•9)
y=7/1
y=7
г) 25/6 :x=20/21 :4/7
25/6•4/7=x•20/21
(25•4)/(6•7)=x•20/21
(25•2•2)/(2•3•7)=x•20/21
50/21=x•20/21
x=50/21 :20/21
x=50/21•21/20
x=(50•21)/(21•20)
x=50/20
x=5/2
x=2,5

*Цитирирование задания со ссылкой на учебник производится исключительно в учебных целях для лучшего понимания разбора решения задания.
*К сожалению, временные проблемы с публикацией комментариев с мобильных устройств.