Упр.8.4 ГДЗ Мерзляк 10 класс Углубленный уровень (Алгебра)
Решение #1

Рассмотрим вариант решения задания из учебника Мерзляк, Номировский, Поляков 10 класс, Просвещение:
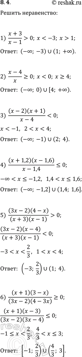
8.4. Найдите множество решений неравенства:
1) (x+3)/(x-1) > 0; 3) (x-2)(x+1)/(x-4) < 0; 5) (3x-2)(4-x)/((x+3)(x-1)) > 0;
2) (x-4)/x?0; 4) (x+1,2)(x-1,6)/(x-1,4)?0; 6) (x+1)(3-x)/((3x-2)(4-3x))?0.
Похожие решебники
Популярные решебники 10 класс Все решебники
*размещая тексты в комментариях ниже, вы автоматически соглашаетесь с пользовательским соглашением