Упр.8.2 ГДЗ Мерзляк 10 класс Углубленный уровень (Алгебра)
Решение #1

Рассмотрим вариант решения задания из учебника Мерзляк, Номировский, Поляков 10 класс, Просвещение:
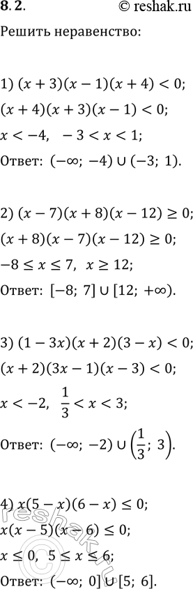
8.2. Решите неравенство:
1) (x+3)(x-1)(x+4) < 0; 3) (1-3x)(x+2)(3-x) < 0;
2) (x-7)(x+8)(x-12)?0; 4) x(5-x)(6-x)?0.
Похожие решебники
Популярные решебники 10 класс Все решебники
*размещая тексты в комментариях ниже, вы автоматически соглашаетесь с пользовательским соглашением