Упр.8.6 ГДЗ Мерзляк 10 класс Углубленный уровень (Алгебра)
Решение #1

Рассмотрим вариант решения задания из учебника Мерзляк, Номировский, Поляков 10 класс, Просвещение:
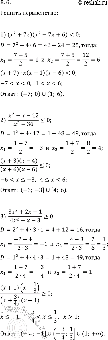
8.6. Найдите множество решений неравенства:
1) (x^2+7x)(x^2-7x+7) < 0;
2) (x^2-x-12)/(x^2-36)?0;
3) (3x^2+2x-1)/(4x^2-x-3)?0.
Похожие решебники
Популярные решебники 10 класс Все решебники
*размещая тексты в комментариях ниже, вы автоматически соглашаетесь с пользовательским соглашением