Упр.8.1 ГДЗ Мерзляк 10 класс Углубленный уровень (Алгебра)
Решение #1

Рассмотрим вариант решения задания из учебника Мерзляк, Номировский, Поляков 10 класс, Просвещение:
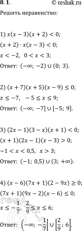
8.1. Решите неравенство:
1) x(x-3)(x+2) < 0; 3) (2x-1)(3-x)(x+1) < 0;
2) (x+7)(x+5)(x-9)?0; 4) (x-6)(7x+1)(2-9x)?0.
Похожие решебники
Популярные решебники 10 класс Все решебники
*размещая тексты в комментариях ниже, вы автоматически соглашаетесь с пользовательским соглашением