Упр.8.3 ГДЗ Мерзляк 10 класс Углубленный уровень (Алгебра)
Решение #1

Рассмотрим вариант решения задания из учебника Мерзляк, Номировский, Поляков 10 класс, Просвещение:
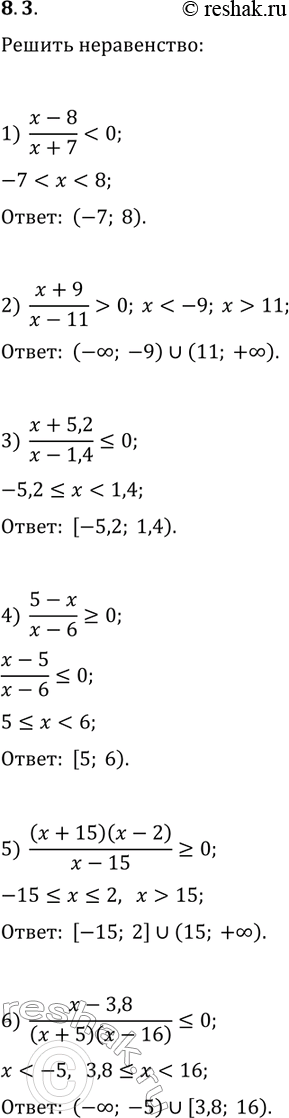
8.3. Найдите множество решений неравенства:
1) (x-8)/(x+7) < 0; 3) (x+5,2)/(x-1,4)?0; 5) (x+15)(x-2)/(x-15)?0;
2) (x+9)/(x-11) > 0; 4) (5-x)/(x-6)?0; 6) (x-3,8)/((x+5)(x-16))?0.
Похожие решебники
Популярные решебники 10 класс Все решебники
*К сожалению, временные проблемы с публикацией комментариев с мобильных устройств.