Упр.8.5 ГДЗ Мерзляк 10 класс Углубленный уровень (Алгебра)
Решение #1

Рассмотрим вариант решения задания из учебника Мерзляк, Номировский, Поляков 10 класс, Просвещение:
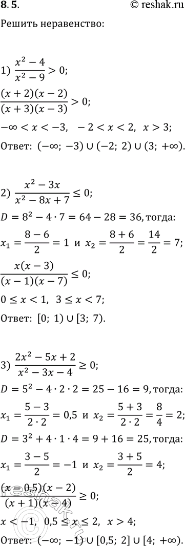
8.5. Решите неравенство:
1) (x^2-4)/(x^2-9) > 0;
2) (x^2-3x)/(x^2-8x+7)?0;
3) (2x^2-5x+2)/(x^2-3x-4)?0.
Похожие решебники
Популярные решебники 10 класс Все решебники
*размещая тексты в комментариях ниже, вы автоматически соглашаетесь с пользовательским соглашением